Abstract
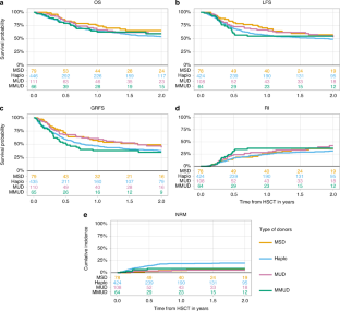
We evaluated the influence of donor type in 3006 adults with adverse-risk cytogenetic acute myeloid leukemia (AML) in first complete remission undergoing allogeneic hematopoietic cell transplantation (HCT). Donor types included matched sibling (MSD), matched unrelated (MUD), mismatched unrelated (MMUD), and haploidentical donors. At 2 years, leukemia-free survival, overall survival (OS), and graft-versus-host disease (GVHD)-free/relapse-free survival were 47%, 55%, and 36%. Compared with MSD, OS was inferior with MUD (HR 1.36; 95% CI, 1.1–1.67), MMUD (HR 1.4; 95% CI, 1.07–1.83), and haploidentical grafts (HR 1.33; 95% CI, 1.02–1.73). Haploidentical was associated with lower relapse risk (HR 0.72; 95% CI, 0.53–0.97), but higher non-relapse mortality (NRM) (HR 3.85; 95% CI, 2.44–6.08). All alternative donors showed higher rates of grade II–IV acute GVHD. In 702 patients receiving post-transplant cyclophosphamide (PTCy), survival differences attenuated. However, haploidentical and MMUD showed higher risk of grade III–IV acute GVHD (HR 2.61; 95% CI, 1.04–6.54 and HR 3.74; 95% CI, 1.14–12.24), and haploidentical had increased NRM (HR 3.22; 95% CI, 1.23–8.44), without significant relapse. Findings support safety of alternative donors and reinforce MSD as preferred choice in adverse-risk AML. PTCy mitigates but does not eliminate the risk of donor mismatch.
This is a preview of subscription content, access via your institution
Access options
Subscribe to this journal
Receive 12 print issues and online access
$259.00 per year
only $21.58 per issue
Buy this article
- Purchase on SpringerLink
- Instant access to the full article PDF.
USD 39.95
Prices may be subject to local taxes which are calculated during checkout




Similar content being viewed by others
Data availability
The dataset supporting the conclusions of this article is available from the ALWP of the EBMT, Saint Antoine Hospital, Paris.
References
Snowden JA, Sánchez-Ortega I, Corbacioglu S, Basak GW, Chabannon C, de la Camara R, et al. Indications for haematopoietic cell transplantation for haematological diseases, solid tumours and immune disorders: current practice in Europe, 2022. Bone Marrow Transpl Basingstoke. 2022;57:1217–39. https://doi.org/10.1038/s41409-022-01691-w.
Döhner H, Wei AH, Appelbaum FR, Craddock C, DiNardo CD, Dombret H, et al. Diagnosis and management of AML in adults: 2022 recommendations from an international expert panel on behalf of the ELN. Blood. 2022;140:1345–77. https://doi.org/10.1182/blood.2022016867.
Passweg JR, Baldomero H, Atlija M, Kleovoulou I, Witaszek A, Alexander T, et al. The 2023 EBMT report on hematopoietic cell transplantation and cellular therapies. Increased use of allogeneic HCT for myeloid malignancies and of CAR-T at the expense of autologous HCT. Bone Marrow Transpl. 2025;60:519–28. https://doi.org/10.1038/s41409-025-02524-2.
Passweg JR, Baldomero H, Alexander T, Angelucci E, Averbuch D, Bazarbachi A, et al. Utilization of hematopoietic cell transplantation and cellular therapy technology in Europe and associated Countries. Using the 2022 activity survey data to correlate with economic and demographic factors. A report from the EBMT. Bone Marrow Transpl. 2025;60:227–36. https://doi.org/10.1038/s41409-024-02459-0.
Rovatti PE, Gambacorta V, Lorentino F, Ciceri F, Vago L. Mechanisms of Leukemia Immune Evasion and Their Role in Relapse After Haploidentical Hematopoietic Cell Transplantation. Front Immunol. 2020;11:147 https://doi.org/10.3389/fimmu.2020.00147.
Eapen M, Rocha V, Sanz G, Scaradavou A, Zhang M-J, Arcese W, et al. Effect of graft source on unrelated donor haemopoietic stem-cell transplantation in adults with acute leukaemia: a retrospective analysis. Lancet Oncol. 2010;11:653–60. https://doi.org/10.1016/S1470-2045(10)70127-3.
Brissot E, Labopin M, Stelljes M, Ehninger G, Schwerdtfeger R, Finke J, et al. Comparison of matched sibling donors versus unrelated donors in allogeneic stem cell transplantation for primary refractory acute myeloid leukemia: a study on behalf of the Acute Leukemia Working Party of the EBMT. J Hematol OncolJ Hematol Oncol. 2017;10:130 https://doi.org/10.1186/s13045-017-0498-8.
Lazzari L, Balaguer-Roselló A, Montoro J, Greco R, Hernani R, Lupo-Stanghellini MT, et al. Post-transplant cyclophosphamide and sirolimus based graft-versus-host disease prophylaxis after allogeneic stem cell transplantation for acute myeloid leukemia. Bone Marrow Transpl. 2022;57:1389–98. https://doi.org/10.1038/s41409-022-01725-3.
Sanz J, Labopin M, Choi G, Kulagin A, Peccatori J, Vydra J, et al. Younger unrelated donors may be preferable over HLA match in the PTCy era: a study from the ALWP of the EBMT. Blood. 2024;143:2534–43. https://doi.org/10.1182/blood.2023023697.
Sanz J, Galimard J-E, Labopin M, Afanasyev B, Angelucci E, Ciceri F, et al. Post-transplant cyclophosphamide after matched sibling, unrelated and haploidentical donor transplants in patients with acute myeloid leukemia: a comparative study of the ALWP EBMT. J Hematol Oncol. 2020;13:46 https://doi.org/10.1186/s13045-020-00882-6.
Wang Y, Liu D-H, Xu L-P, Liu K-Y, Chen H, Chen Y-H, et al. Superior Graft-versus-Leukemia Effect Associated with Transplantation of Haploidentical Compared with HLA-Identical Sibling Donor Grafts for High-Risk Acute Leukemia: An Historic Comparison. Biol Blood Marrow Transpl. 2011;17:821–30. https://doi.org/10.1016/j.bbmt.2010.08.023.
Yu S, Huang F, Wang Y, Xu Y, Yang T, Fan Z, et al. Haploidentical transplantation might have superior graft-versus-leukemia effect than HLA-matched sibling transplantation for high-risk acute myeloid leukemia in first complete remission: a prospective multicentre cohort study. Leukemia 2020;34:1433–43. https://doi.org/10.1038/s41375-019-0686-3.
Milano F, Gooley T, Wood B, Woolfrey A, Flowers ME, Doney K, et al. Cord-Blood Transplantation in Patients with Minimal Residual Disease. N Engl J Med. 2016;375:944–53. https://doi.org/10.1056/NEJMoa1602074.
Chang Y-J, Wang Y, Liu Y-R, Xu L-P, Zhang X-H, Chen H, et al. Haploidentical allograft is superior to matched sibling donor allograft in eradicating pre-transplantation minimal residual disease of AML patients as determined by multiparameter flow cytometry: a retrospective and prospective analysis. J Hematol Oncol. 2017;10:134. https://doi.org/10.1186/s13045-017-0502-3.
Ruggeri A, Labopin M, Ciceri F, Mohty M, Nagler A. Definition of GvHD-free, relapse-free survival for registry-based studies: an ALWP-EBMT analysis on patients with AML in remission. Bone Marrow Transpl. 2016;51:610–1. https://doi.org/10.1038/bmt.2015.305.
Spyridonidis A, Labopin M, Savani BN, Niittyvuopio R, Blaise D, Craddock C, et al. Redefining and measuring transplant conditioning intensity in current era: a study in acute myeloid leukemia patients. Bone Marrow Transpl. 2020;55:1213. https://doi.org/10.1038/s41409-020-0835-3.
Kaplan EL, Meier P. Nonparametric Estimation from Incomplete Observations. J Am Stat Assoc. 1958;53:457–81. https://doi.org/10.2307/2281868.
Gooley TA, Leisenring W, Crowley J, Storer BE. Estimation of failure probabilities in the presence of competing risks: new representations of old estimators. Stat Med. 1999;18:695–706. https://doi.org/10.1002/(sici)1097-0258(19990330)18:6%253C695::aid-sim60%253E3.0.co;2-o.
Fine JP, Gray RJ. A Proportional Hazards Model for the Subdistribution of a Competing Risk. J Am Stat Assoc. 1999;94:496–509. https://doi.org/10.2307/2670170.
Cox DR. Regression Models and Life-Tables. J R Stat Soc Ser B Methodol. 1972;34:187–220.
Biard L, Labopin M, Chevret S, Resche-Rigon M. Acute Leukaemia Working Party of the EBMT. Investigating covariate-by-centre interaction in survival data. Stat Methods Med Res. 2018;27:920–32. https://doi.org/10.1177/0962280216647981.
Therneau TM, Crowson CS, Atkinson EJ. Adjusted Survival Curves. Mayo Clinic; 2015. Available at: https://cran.r-project.org/web/packages/survival/vignettes/survfit.pdf. Accessed 21 November 2025.
Schlenk RF, Döhner K, Mack S, Stoppel M, Király F, Götze K, et al. Prospective Evaluation of Allogeneic Hematopoietic Stem-Cell Transplantation From Matched Related and Matched Unrelated Donors in Younger Adults With High-Risk Acute Myeloid Leukemia: German-Austrian Trial AMLHD98A. J Clin Oncol. 2010;28:4642–8. https://doi.org/10.1200/JCO.2010.28.6856.
Ruggeri A, Battipaglia G, Labopin M, Ehninger G, Beelen D, Tischer J, et al. Unrelated donor versus matched sibling donor in adults with acute myeloid leukemia in first relapse: an ALWP-EBMT study. J Hematol Oncol. 2016;9:89. https://doi.org/10.1186/s13045-016-0321-y.
Solomon SR, Sizemore CA, Zhang X, Brown S, Holland HK, Morris LE, et al. Impact of Donor Type on Outcome after Allogeneic Hematopoietic Cell Transplantation for Acute Leukemia. Biol Blood Marrow Transpl. 2016;22:1816–22. https://doi.org/10.1016/j.bbmt.2016.07.010.
Saber W, Opie S, Rizzo JD, Zhang M-J, Horowitz MM, Schriber J. Outcomes after matched unrelated donor versus identical sibling hematopoietic cell transplantation in adults with acute myelogenous leukemia. Blood. 2012;119:3908–16. https://doi.org/10.1182/blood-2011-09-381699.
Ruggeri A, Labopin M, Bacigalupo A, Afanasyev B, Cornelissen JJ, Elmaagacli A, et al. Post-transplant cyclophosphamide for graft-versus-host disease prophylaxis in HLA matched sibling or matched unrelated donor transplant for patients with acute leukemia, on behalf of ALWP-EBMT. J Hematol Oncol. 2018;11:40. https://doi.org/10.1186/s13045-018-0586-4.
Salvatore D, Labopin M, Ruggeri A, Battipaglia G, Ghavamzadeh A, Ciceri F, et al. Outcomes of hematopoietic stem cell transplantation from unmanipulated haploidentical versus matched sibling donor in patients with acute myeloid leukemia in first complete remission with intermediate or high-risk cytogenetics: a study from the Acute Leukemia Working Party of the European Society for Blood and Marrow Transplantation. Haematologica. 2018;103:1317–28. https://doi.org/10.3324/haematol.2018.189258.
Penack O, Abouqateb M, Peczynski C, Boreland W, Benakli M, Kröger N, et al. GVHD prophylaxis in matched related stem cell transplantation: Why post-transplant cyclophosphamide can be recommended a study by the EBMT transplant complications working party. Leukemia 2025. https://doi.org/10.1038/s41375-025-02619-1.
Penack O, Marchetti M, Aljurf M, Arat M, Bonifazi F, Duarte RF, et al. Prophylaxis and management of graft-versus-host disease after stem-cell transplantation for haematological malignancies: updated consensus recommendations of the European Society for Blood and Marrow Transplantation. Lancet Haematol. 2024;11:e147–59. https://doi.org/10.1016/S2352-3026(23)00342-3.
DeZern AE, Franklin C, Tsai H-L, Imus PH, Cooke KR, Varadhan R, et al. Relationship of donor age and relationship to outcomes of haploidentical transplantation with posttransplant cyclophosphamide. Blood Adv. 2021;5:1360–8. https://doi.org/10.1182/bloodadvances.2020003922.
Penack O, Abouqateb M, Peczynski C, Boreland W, Gülbas Z, Gedde-Dahl T, et al. PTCy versus ATG as graft-versus-host disease prophylaxis in mismatched unrelated stem cell transplantation. Blood Cancer J. 2024;14:45. https://doi.org/10.1038/s41408-024-01032-8.
Author information
Authors and Affiliations
Contributions
M.V. and J.S. designed the study; A.F. performed statistical analysis and interpreted the results; M.V. and J.S. wrote the manuscript; A.F., T.G., G.S., A.H., I.W.B., I.Y., D.B., M.E., E.F., R.F., J.P., C.C., M.S., F.S., N.K., H.S., P.C., H.L., X.P., J.E., B.S., A.N., S.P., M.M., and F.C. provided patient data through the EBMT registry; and all authors reviewed and approved the manuscript.
Corresponding author
Ethics declarations
Competing interests
The authors declare no competing interests.
Ethics approval and consent to participate
The scientific board of the ALWP of EBMT approved this study. All patients gave written informed consent for the use of their data.
Additional information
Publisher’s note Springer Nature remains neutral with regard to jurisdictional claims in published maps and institutional affiliations.
Supplementary information
Rights and permissions
Springer Nature or its licensor (e.g. a society or other partner) holds exclusive rights to this article under a publishing agreement with the author(s) or other rightsholder(s); author self-archiving of the accepted manuscript version of this article is solely governed by the terms of such publishing agreement and applicable law.
About this article
Cite this article
Villalba, M., Ferhat, AT., Gedde-Dahl, T. et al. Impact of donor selection in adverse-risk AML undergoing hematopoietic cell transplantation: A study from the EBMT Acute Leukemia Working Party. Bone Marrow Transplant 61, 187–196 (2026). https://doi.org/10.1038/s41409-025-02751-7
Received:
Revised:
Accepted:
Published:
Version of record:
Issue date:
DOI: https://doi.org/10.1038/s41409-025-02751-7


