Fig. 1
From: Lipocalin 2 stimulates bone fibroblast growth factor 23 production in chronic kidney disease

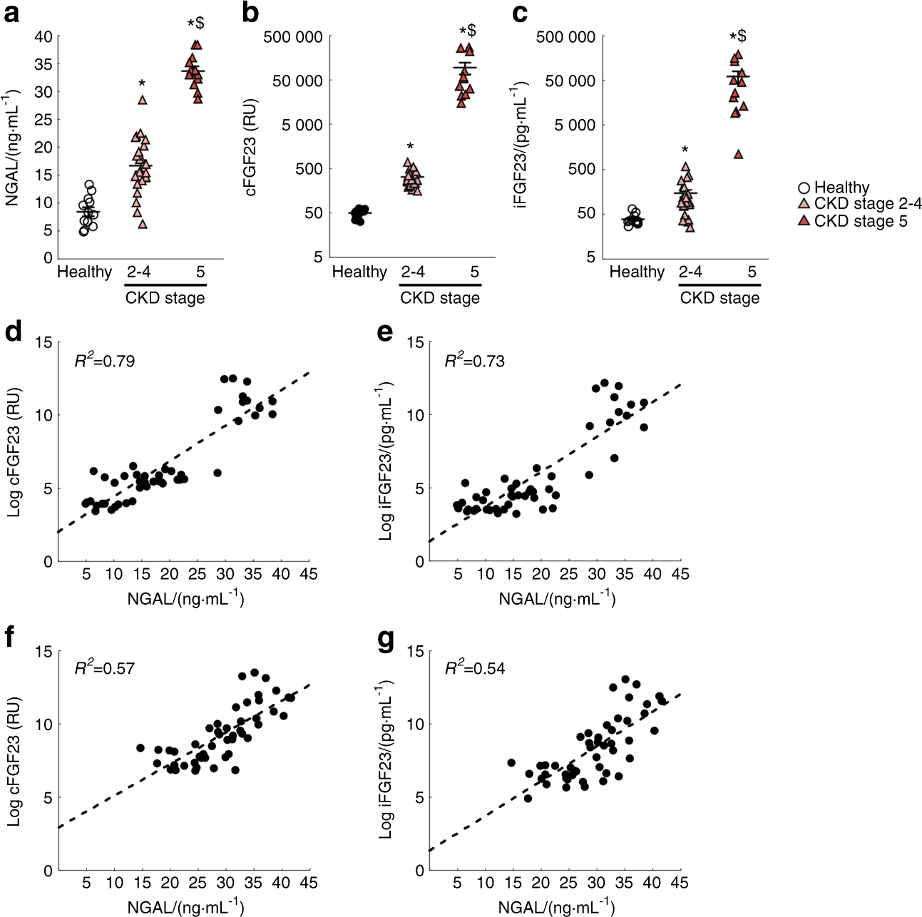
FGF23 and NGAL levels increase in patients with CKD. Levels of serum (a) NGAL, (b) total FGF23 (cFGF23), and (c) intact FGF23 (iFGF23) increase with the progression of kidney disease. NGAL correlates with both (d) and (f) cFGF23 (R2 = 0.79, partial correlation R2 = 0.57) and (e) and (g) iFGF23 (R2 = 0.73, partial correlation R2 = 0.54) levels, (d) and (e) unadjusted variables or (f) and (g) adjusted by eGFR. P values were determined by a two-sided, paired t-test. Values are mean ± SE, n ≥ 12/group, P < 0.05 vs. *Healthy, $Stage 2–4