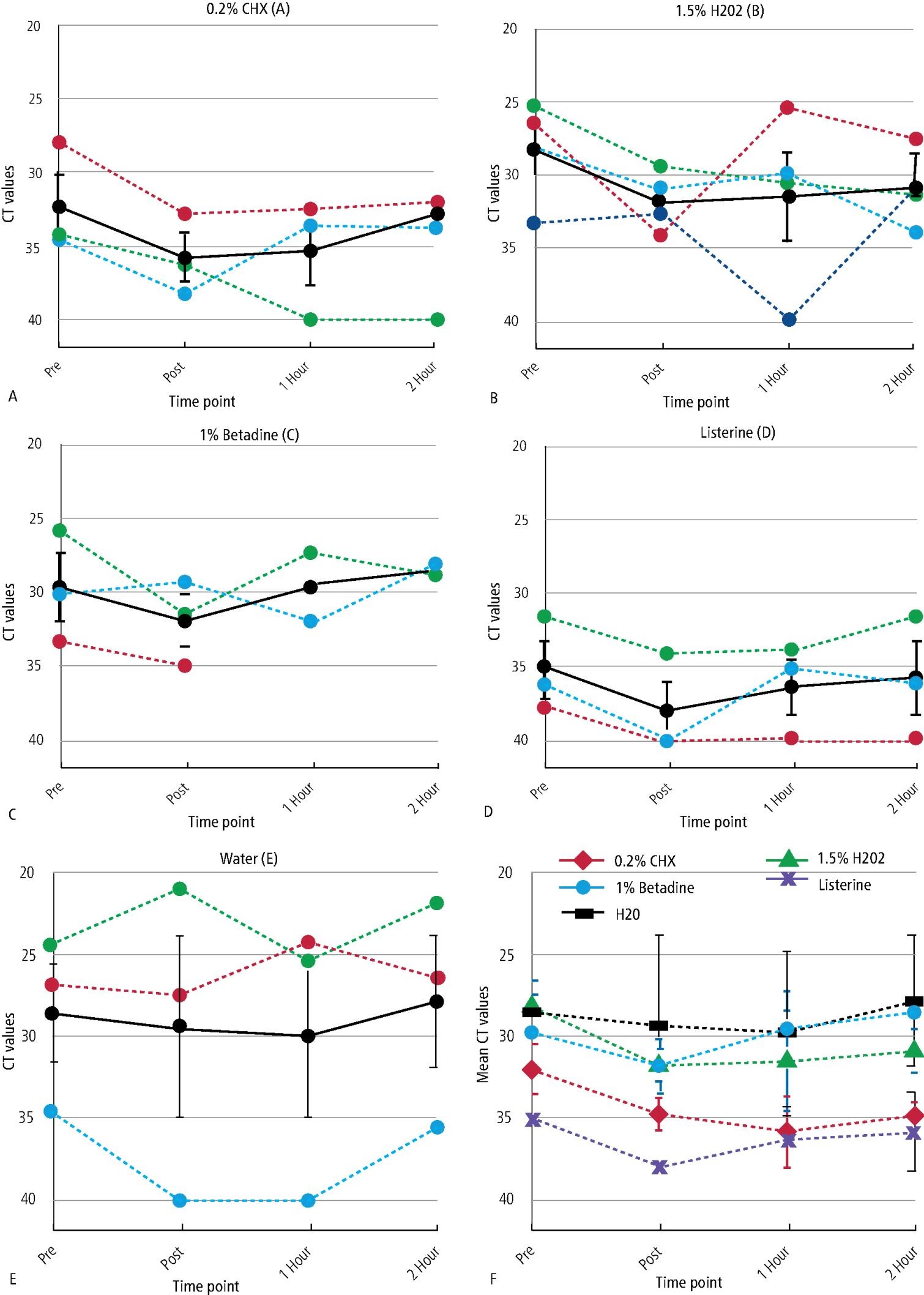
Fig. 3

Ct values for the ORF1ab gene in the saliva samples collected at baseline (pre) and immediately after rinsing (post), one hour and two hours. The dotted line represents the Ct values for individual subjects and the solid black line represents the group means along with SE. a) 0.12% chlorhexidine gluconate mouthwash. b) 1.5% H2O2 mouthwash. c) 1% betadine mouthwash. d) Alcohol-based Listerine. e) Water groups. f) The mean and SE for the ORF1ab gene within each group. As Ct values are inversely proportional to viral load, the y-axis represents Ct values on a reverse scale