Fig. 2

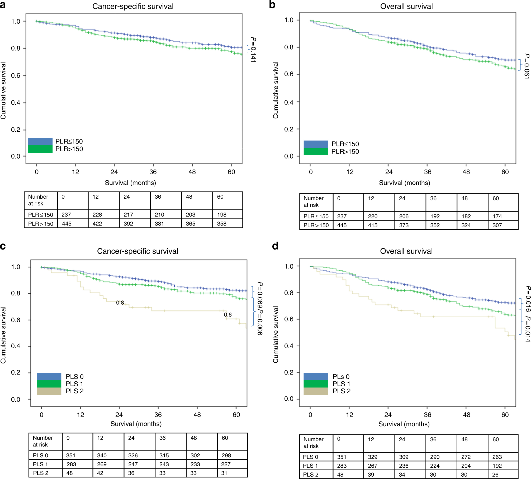
a–d The relationship between the PLR and PLS and both CSS and OS in patients undergoing surgery for colon cancer. Number at risk depicts the number of patients alive or not censored entering each time period

a–d The relationship between the PLR and PLS and both CSS and OS in patients undergoing surgery for colon cancer. Number at risk depicts the number of patients alive or not censored entering each time period