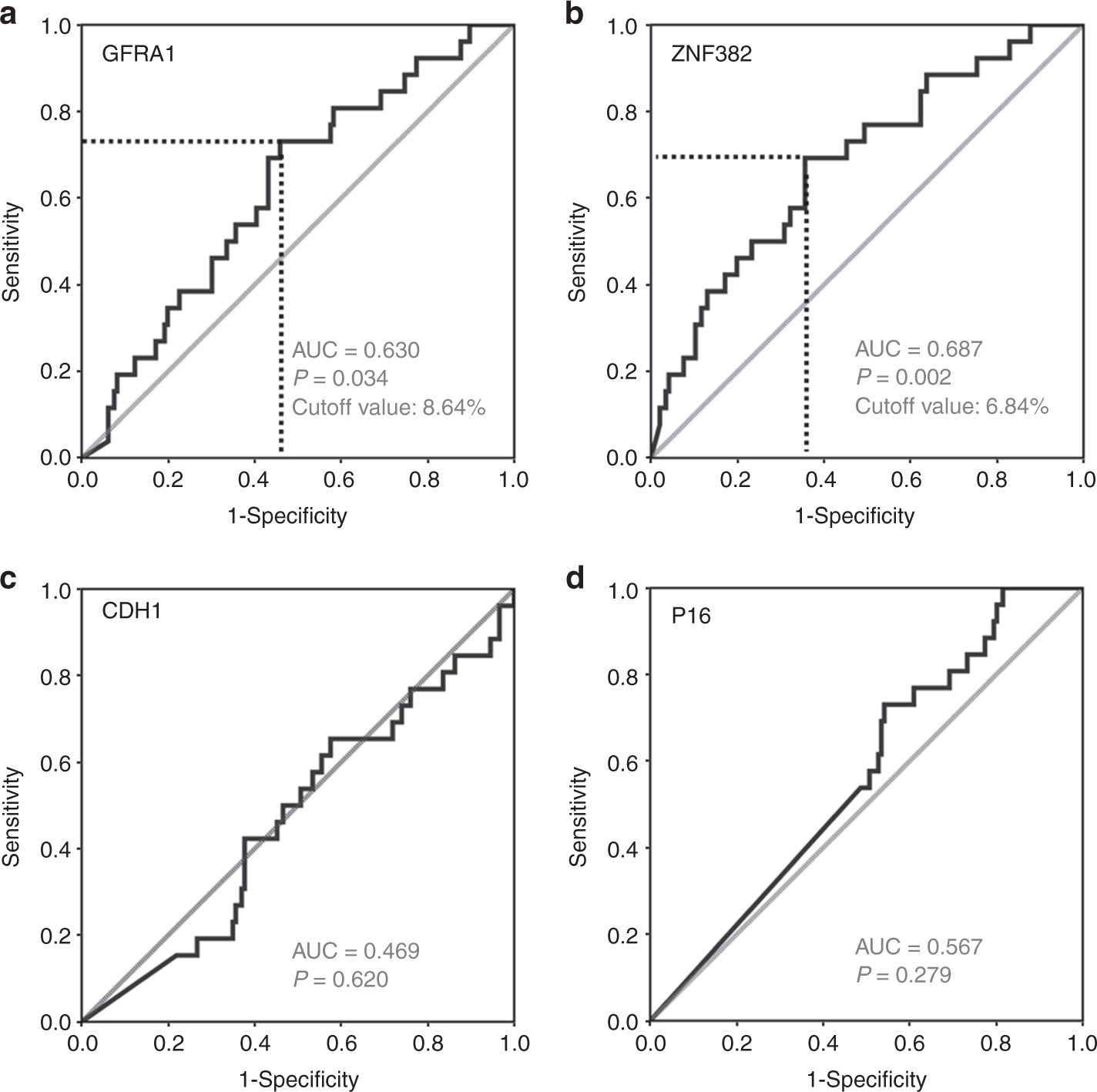
Fig. 3

ROC curves for the prediction of GC metastasis by GFRA1, ZNF382, CDH1 and P16 methylation positivity as biomarkers. The cut-off value to define methylation-positive patients is noted. a GFRA1; b ZNF382; c CDH1; d P16

ROC curves for the prediction of GC metastasis by GFRA1, ZNF382, CDH1 and P16 methylation positivity as biomarkers. The cut-off value to define methylation-positive patients is noted. a GFRA1; b ZNF382; c CDH1; d P16