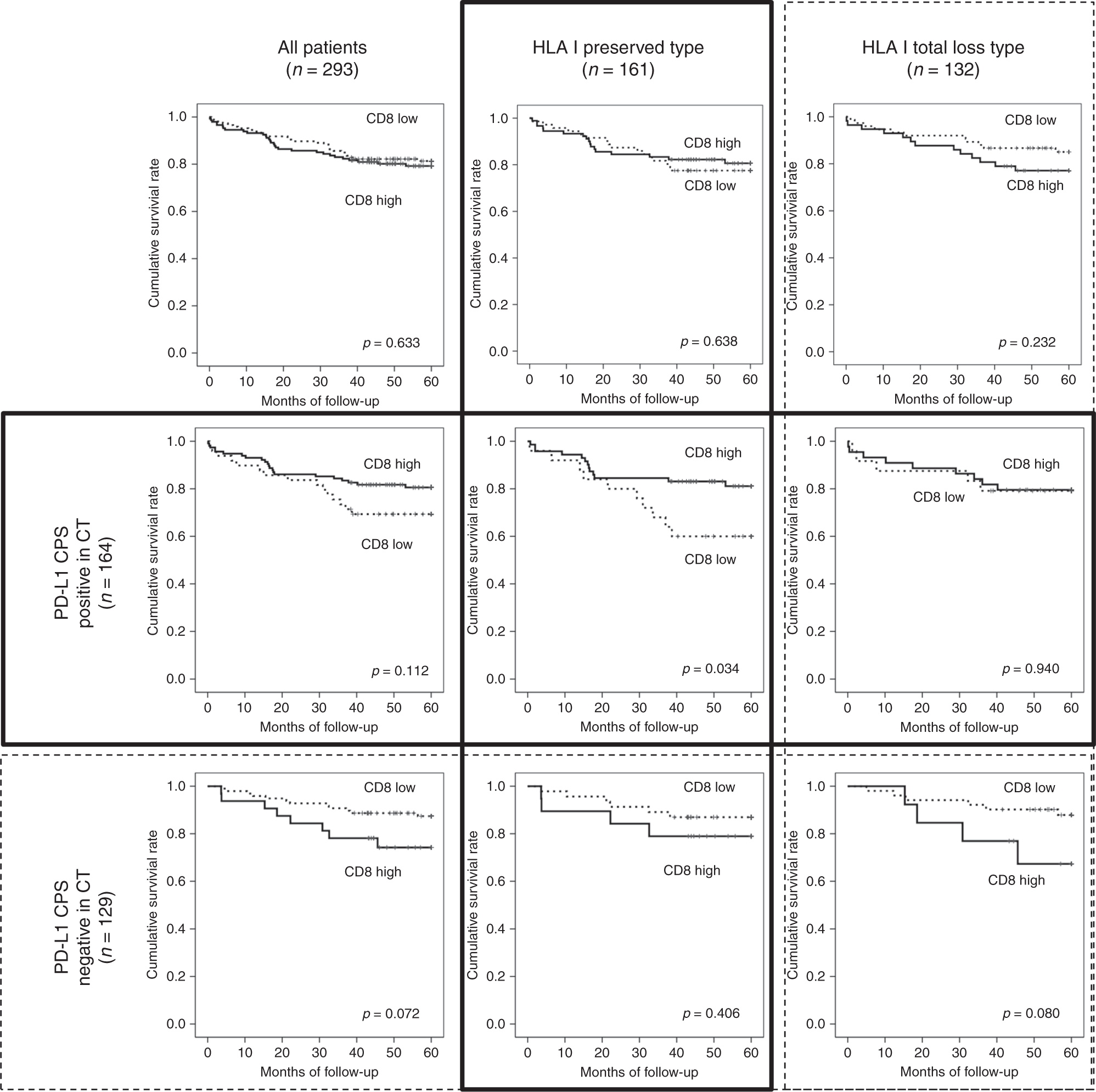
Fig. 4: Differential prognostic implication of CD8+ TIL according to HLA-I expression type and PD-L1 CPS status.

The prognostic association of CD8+ TIL was not detected in 293 patients (first row, first column). No CD8+ TIL prognostic impact was observed in HLA-I-preserved group or HLA-I total loss group (first row, second and third column). However, when the HLA-I-preserved group was divided into two subgroups according to PD-L1 CPS positivity, the prognostic association of CD8+ TIL was observed only in the HLA-I-preserved/PD-L1 CPS-positive subgroup (second row, second column). In the HLA-I total loss group, CD8+ TIL had no prognostic association, regardless of PD-L1 positivity (third line, left, mid and right figure).