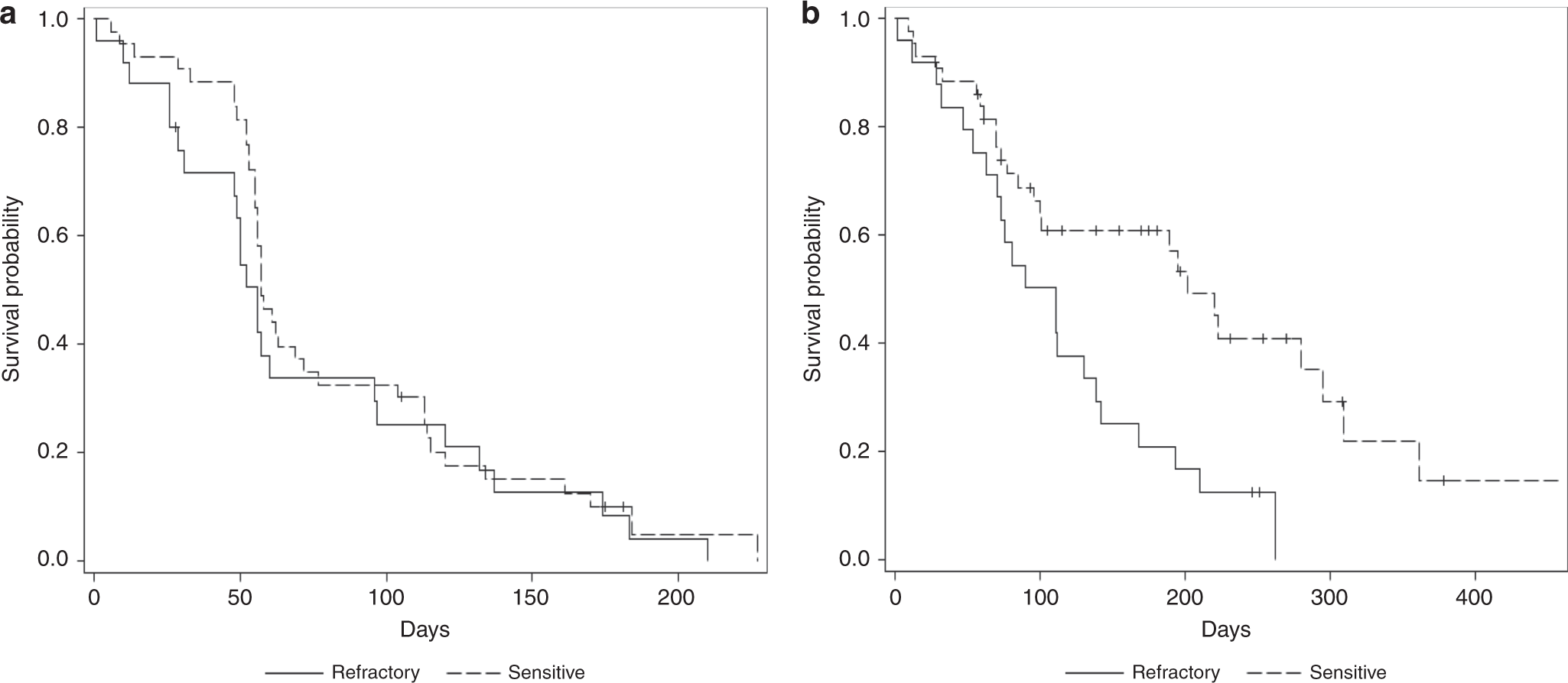
Fig. 3: PFS and OS in modified ITT population.

Probabilities of PFS (a) and OS (b) were calculated according to the Kaplan–Meier product-limit method. In both graphs (a and b), continuous and dashed curves represent survival probabilities in refractory and sensitive cohorts, respectively.