Abstract
Background
Patients with small node-negative HER2-positive breast cancer are commonly treated with paclitaxel and 1 year of adjuvant trastuzumab. We performed a sub-analysis of the ALTTO trial to explore the long-term outcomes of patients with small node-negative tumours.
Methods
The ALTTO trial randomised 8381 patients with early HER2-positive BC treated with adjuvant chemotherapy (anthracycline/taxane- or taxane/carboplatin-based), to trastuzumab (T), lapatinib (L), their sequence (T → L) or their combination (L + T). Patients with tumours ≤3 cm and node-negative were included in this sub-analysis.
Results
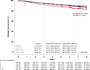
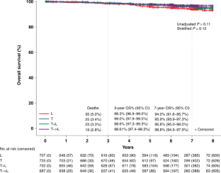
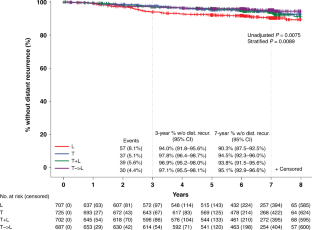
A total of 2821 patients were analysed (median follow-up of 7 years). The median age was 52 years, and most patients had tumours ≤2 cm (64.3%). The 7-year disease-free survival (DFS) was 88.1% (95% CI: 86.7–89.3%). DFS was similar for arms T, T + L and T⟶L and significantly lower for arm L (stratified log-rank P = 0.031). The 7-year overall survival rate was 95.9% (95% CI: [95.0–96.6%) and the 7-year time-to-distant recurrence was 93.4% (95% CI: 92.3–94.4%).
Conclusion
With most patients treated with anthracycline-based regimens, ALTTO shows that patients with small tumours treated with trastuzumab and concomitant chemotherapy have excellent long-term outcomes, similar to those of the APT trial.
Trial registration
Clinicaltrials.gov identifier NCT00490139.
This is a preview of subscription content, access via your institution
Access options
Subscribe to this journal
Receive 24 print issues and online access
$259.00 per year
only $10.79 per issue
Buy this article
- Purchase on SpringerLink
- Instant access to the full article PDF.
USD 39.95
Prices may be subject to local taxes which are calculated during checkout




Similar content being viewed by others
Data availability
Not applicable.
References
Early Breast Cancer Trialists’ Collaborative Group (EBCTCG). Trastuzumab for early-stage, HER2-positive breast cancer: a meta-analysis of 13 864 women in seven randomised trials. Lancet Oncol. 2021;22:1139–50.
O’Sullivan CC, Bradbury I, Campbell C, Spielmann M, Perez EA, Joensuu H, et al. Efficacy of adjuvant trastuzumab for patients with human epidermal growth factor receptor 2-positive early breast cancer and tumors ≤2 cm: a meta-analysis of the randomized trastuzumab trials. J Clin Oncol. 2015;33:2600–8.
Cardoso F, Kyriakides S, Ohno S, Penault-Llorca F, Poortmans P, Rubio IT, et al. Early breast cancer: ESMO Clinical Practice Guidelines for diagnosis, treatment and follow-up†. Ann Oncol. 2019;30:1194–220.
Tolaney SM, Guo H, Pernas S, Barry WT, Dillon DA, Ritterhouse L, et al. Seven-year follow-up analysis of adjuvant paclitaxel and trastuzumab trial for node-negative, human epidermal growth factor receptor 2–positive breast cancer. JCO. 2019;37:1868–75.
Moreno-Aspitia A, Holmes EM, Jackisch C, de Azambuja E, Boyle F, Hillman DW, et al. Updated results from the international phase III ALTTO trial (BIG 2-06/Alliance N063D). Eur J Cancer. 2021;148:287–96.
Piccart-Gebhart M, Holmes E, Baselga J, De Azambuja E, Dueck AC, Viale G, et al. Adjuvant lapatinib and trastuzumab for early human epidermal growth factor receptor 2-positive breast cancer: results from the randomized phase III adjuvant lapatinib and/or trastuzumab treatment optimization trial. J Clin Oncol. 2016;34:1034–42.
NCCN Clinical Practice Guidelines in Oncology (NCCN Guidelines) - Breast Cancer. Version 2.2022 [Internet]. NCCN. [cited 2022 Mar 29]. https://www.nccn.org/guidelines/guidelines-detail
Amiri-Kordestani L, Xie D, Tolaney SM, Bloomquist E, Tang S, Ibrahim A, et al. A Food and Drug Administration analysis of survival outcomes comparing the adjuvant paclitaxel and trastuzumab trial with an external control from historical clinical trials. Ann Oncol. 2020;31:1704–8.
Effect of radiotherapy after breast-conserving surgery on 10-year recurrence and 15-year breast cancer death: meta-analysis of individual patient data for 10 801 women in 17 randomised trials. Lancet. 2011;378:1707–16.
Baade P. Geographical variation in breast cancer outcomes. Int J Environ Res Public Health. 2017;14:523.
Hurvitz SA, McAndrew NP, Bardia A, Press MF, Pegram M, Crown JP, et al. A careful reassessment of anthracycline use in curable breast cancer. npj Breast Cancer. 2021;7:134.
Tolaney SM, Tayob N, Dang C, Yardley DA, Isakoff SJ, Valero V, et al. Adjuvant trastuzumab emtansine versus paclitaxel in combination with trastuzumab for stage I HER2-positive breast cancer (ATEMPT): a randomized clinical trial. J Clin Oncol. 2021;39:2375–85.
Barroso-Sousa R, Barry WT, Guo H, Dillon D, Tan YB, Fuhrman K, et al. The immune profile of small HER2-positive breast cancers: a secondary analysis from the APT trial. Ann Oncol. 2019;30:575–81.
Salgado R, Denkert C, Campbell C, Savas P, Nuciforo P, Aura C, et al. Tumor-infiltrating lymphocytes and associations with pathological complete response and event-free survival in HER2-positive early-stage breast cancer treated with lapatinib and trastuzumab. JAMA Oncol. 2015;1:448–54.
Macpherson I, McIntosh S, Kilburn L, Tovey H, Kernaghan S, Goddard K, et al. Abstract OT2-05-01: the HER2-RADiCAL study (Response ADaptive CAre pLan)—tailoring treatment for HER2 positive early breast cancer. Cancer Res. 2022;82:OT2-05–01.
Acknowledgements
We acknowledge the ALTTO staff of Clinical Trial Support Unit (CTSU) at Institut Jules Bordet in Brussels (Belgium) for clinical record management.
Funding
The ALTTO trial received financial support from GlaxoSmithKline (until January 2015), Novartis Pharma AG (as of January 2015), and the National Cancer Institute of the National Institutes of Health (NCI-NIH; Grant No. U10CA180821 and U10CA180882 to the Alliance for Clinical Trials in Oncology and Grant No. CA025224 to the legacy North Central Cancer Treatment Group, and Grant No. CA180863). The present analysis did not receive additional funding. The funders and sponsors had no role in the design or conduct of the study, in the collection, analysis or interpretation of the data, and in the preparation, review or approval of this paper.
Author information
Authors and Affiliations
Contributions
GN-M: conceptualisation, methodology and writing—original draft. VD: writing—original draft. DE: conceptualisation, methodology and writing—original draft. ZT: methodology, formal analysis and writing—original draft. RC: conceptualisation, methodology and writing—original draft. MK: methodology, formal analysis and writing—original draft. SN: investigation and data curation. SH: investigation and project administration. LK: investigation and project administration. YW: investigation and funding acquisition. SC: methodology and supervision. KP: conceptualisation and methodology. MU: methodology and supervision. MB-E: investigation and writing—review and editing. DDR: investigation, data curation and writing—review and editing. AM-A: conceptualisation, methodology, supervision and writing—review and editing. MP: conceptualisation, methodology, supervision, writing—review and editing. UD: methodology, formal analysis and writing—original draft. EdA: conceptualisation, methodology, supervision and writing—review and editing.
Corresponding author
Ethics declarations
Competing interests
GN-M: travel grants for meetings from Roche and Bayer, outside the submitted work. DE: employed by Roche, owner of Roche’s stocks. RC: Novartis employee, owner of Novartis’ stocks. YW: Employed by Novartis and holds Novartis stock. SC: research funding to her institution from Merck & Co., Pfizer, Salix Pharmaceuticals, and Rebiotix Inc. She receives consulting fees to her institution from AstraZeneca, Daiichi-Sankyo, Immunomedics, Biotheranostics, Novartis, Athenex, Syndax, Puma Biotechnology, Eisai, and Seagen. KP: consultant/advisory role: Pfizer, Roche, Amgen, Novartis, Eisai, Genomic Health Inc., Myriad Genetic Laboratories, Gilead Sciences. Royalties: UpToDate. MU: consultations and lectures (all fees to the employer/institution): Abbvie; Amgen; AstraZeneca; BMS; Daiji Sankyo; Gilead; GSK; Lilly; MSD Merck; Myriad Genetics; Novartis; Pierre Fabre; Pfizer, Roche; Sanofi Aventis; Saegen. MB-E: honoraria and/or advisory board from Pfizer, Novartis and Lilly. Travel grants from Pfizer. DDR: honoraria and/or advisory board from Roche, Novartis, Lilly, Pfizer, Daiichi-Sankyo, Zodiac, Libbs, United Medical and AstraZeneca; travel grants from Roche and Novartis; research grant to my institution from Novartis. AM-A: Institutional research funds from Genentech, GSK/Novartis and Sermonix. MP: board member (Scientific Board) from Oncolytics, consultant (honoraria) from AstraZeneca, Camel-IDS/Precirix, Gilead, Immunomedics, Lilly, Menarini, MSD, Novartis, Odonate, Pfizer, Roche-Genentech, Seattle Genetics, Immutep, Seagen, NBE Therapeutics, and Frame Therapeutics. Institutional research grants from AstraZeneca, Immunomedics, Lilly, Menarini, MSD, Novartis, Pfizer, Radius, Roche-Genentech, Servier, and Synthon (all outside the submitted work). UD: Honorarium as Member of the Tumour Agnostic Evidence Generation working Group of Roche, outside the submitted work. EdA: honoraria and/or advisory board from Roche/GNE, Novartis, Seattle Genetics, Zodiac, Libbs and Pierre Fabre Travel grants from Roche/GNE and GSK/Novartis Research grant to my institution from Roche/GNE, AstraZeneca, GSK/Novartis and Servier. The remaining authors declare no competing interest.
Ethics approval and consent to participate
All patients gave written informed consent, and institutional review board/institutional ethics committee approval to conduct the study was mandatory for all participating centres. The study was performed in accordance with the Declaration of Helsinki.
Consent to publish
Not applicable.
Additional information
Publisher’s note Springer Nature remains neutral with regard to jurisdictional claims in published maps and institutional affiliations.
Supplementary information
Rights and permissions
Springer Nature or its licensor holds exclusive rights to this article under a publishing agreement with the author(s) or other rightsholder(s); author self-archiving of the accepted manuscript version of this article is solely governed by the terms of such publishing agreement and applicable law.
About this article
Cite this article
Nader-Marta, G., Debien, V., Eiger, D. et al. Outcomes of patients with small and node-negative HER2-positive early breast cancer treated with adjuvant chemotherapy and anti-HER2 therapy—a sub-analysis of the ALTTO study. Br J Cancer 127, 1799–1807 (2022). https://doi.org/10.1038/s41416-022-01963-8
Received:
Revised:
Accepted:
Published:
Version of record:
Issue date:
DOI: https://doi.org/10.1038/s41416-022-01963-8


