Fig. 1

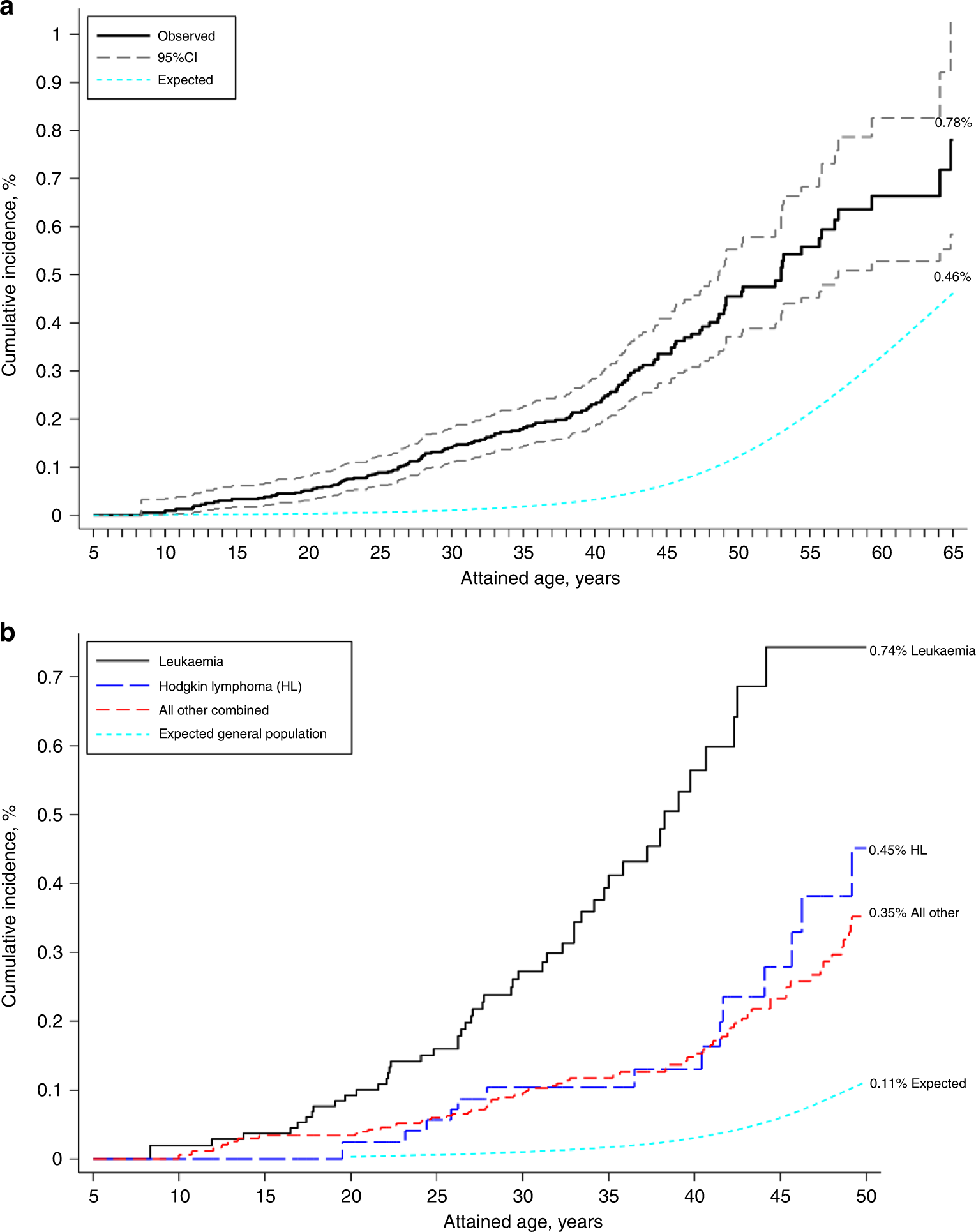
The cumulative incidence of developing a subsequent primary oral cancer as a function of attained age illustrated in all childhood cancer survivors (a) and in survivors of different types of childhood cancer (b).

The cumulative incidence of developing a subsequent primary oral cancer as a function of attained age illustrated in all childhood cancer survivors (a) and in survivors of different types of childhood cancer (b).