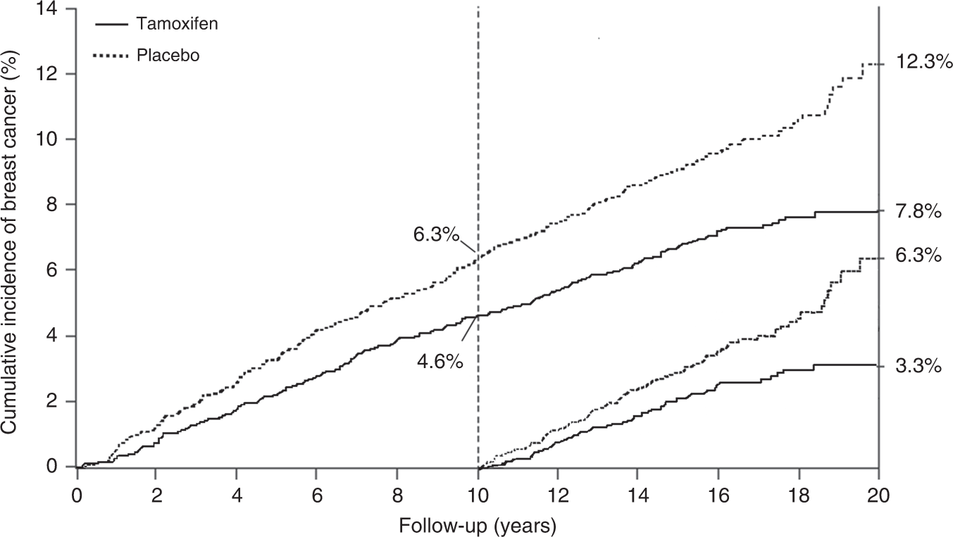
Fig. 1: Impact of 5 years of tamoxifen on breast cancer incidence.
From: The importance of long-term follow up of participants in clinical trials

20-year incidence of breast cancer in high risk women receiving tamoxifen or placebo in the IBIS-I prevention trial. Incidence in the first 10 years and second 10 years of follow up is also shown separately.