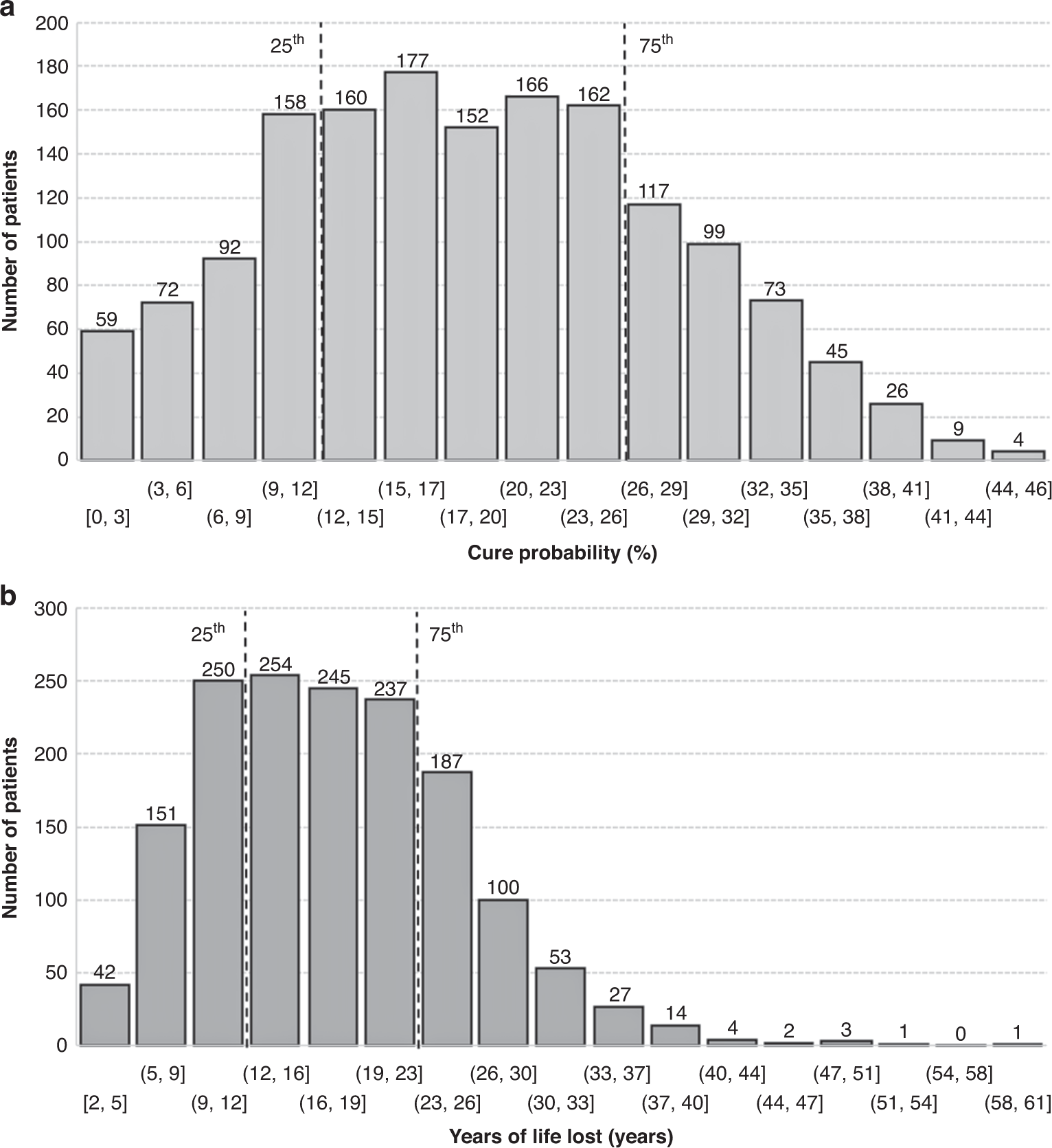
Fig. 1: Probability of cure and years of life lost.

a Estimated cure probabilities and b Estimates of YLLs derived from the flexible parametric cure model. The 25th and 75th confidence intervals are shown by dotted vertical lines.

a Estimated cure probabilities and b Estimates of YLLs derived from the flexible parametric cure model. The 25th and 75th confidence intervals are shown by dotted vertical lines.