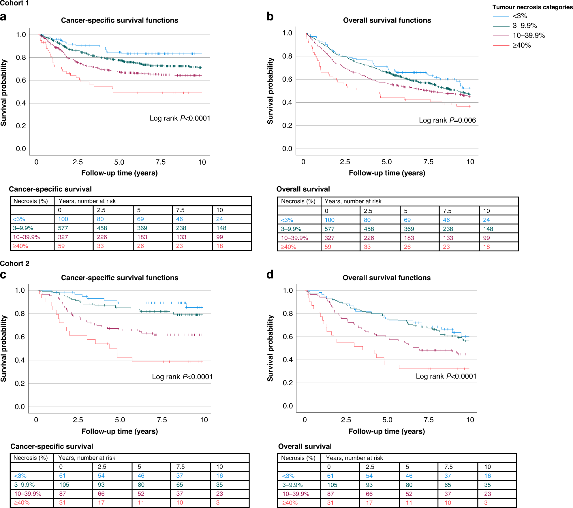
Fig. 2: Kaplan–Meier survival analyses.
From: Immunological and prognostic significance of tumour necrosis in colorectal cancer

The associations of tumour necrosis with (a) cancer-specific survival (CSS) and (b) overall survival (OS) in Cohort 1. The associations of tumour necrosis with (c) CSS and (d) OS in Cohort 2.