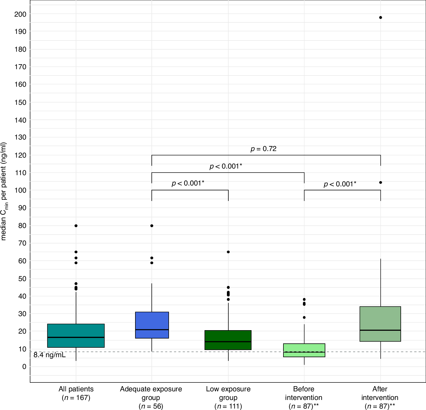
Fig. 1: Median exposure per group (Cmin).

Boxplots of median Cmin per patient in all patients, the Adequate- and the Low-group, also shown divided in a before and after intervention subgroup. Adequate exposure group: patients with all pharmacokinetic levels ≥8.4 ng/mL. Low exposure group: patients with ≥1 pharmacokinetic level <8.4 ng/mL. Before intervention: patients in the Low-group before intervention. After intervention: patients in the Low-group after intervention. *: significant (p-value < 0.05). **: only including patients who had an evaluable intervention. Cmin minimal plasma concentrations at steady-state.