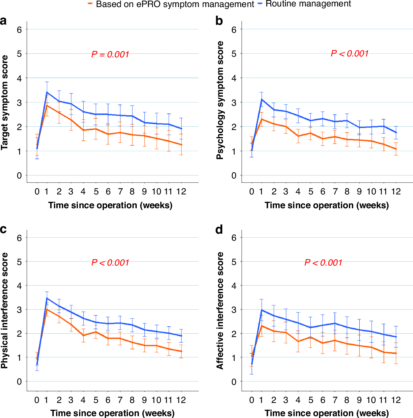
Fig. 3: Symptom severity over time.

a Postoperative symptom score of the target symptoms (pain, fatigue, disturbed sleep, shortness of breath, coughing, sadness and depression). b Postoperative psychological symptom score (sadness and depression). Higher scores indicate more severe symptoms. c Physical interference score (MDASI-LC: general activity, work, and walking). d Affective interference score (MDASI-LC: mood, relations with others, and enjoyment of life). Higher scores indicate more greater functional interference. MDASI-LC MD Anderson Symptom Inventory-Lung Cancer module. Error bar represents 95% CI of adjusted mean difference. ePRO electronic patient-reported outcome. 0 represents baseline (within 1 week before surgery).