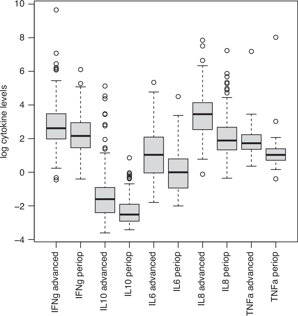
Fig. 3: Increased inflammatory profile in advanced disease.

Distributions of measured log(pg/ml) concentrations of each cytokine in all patients on both studies are shown.

Distributions of measured log(pg/ml) concentrations of each cytokine in all patients on both studies are shown.