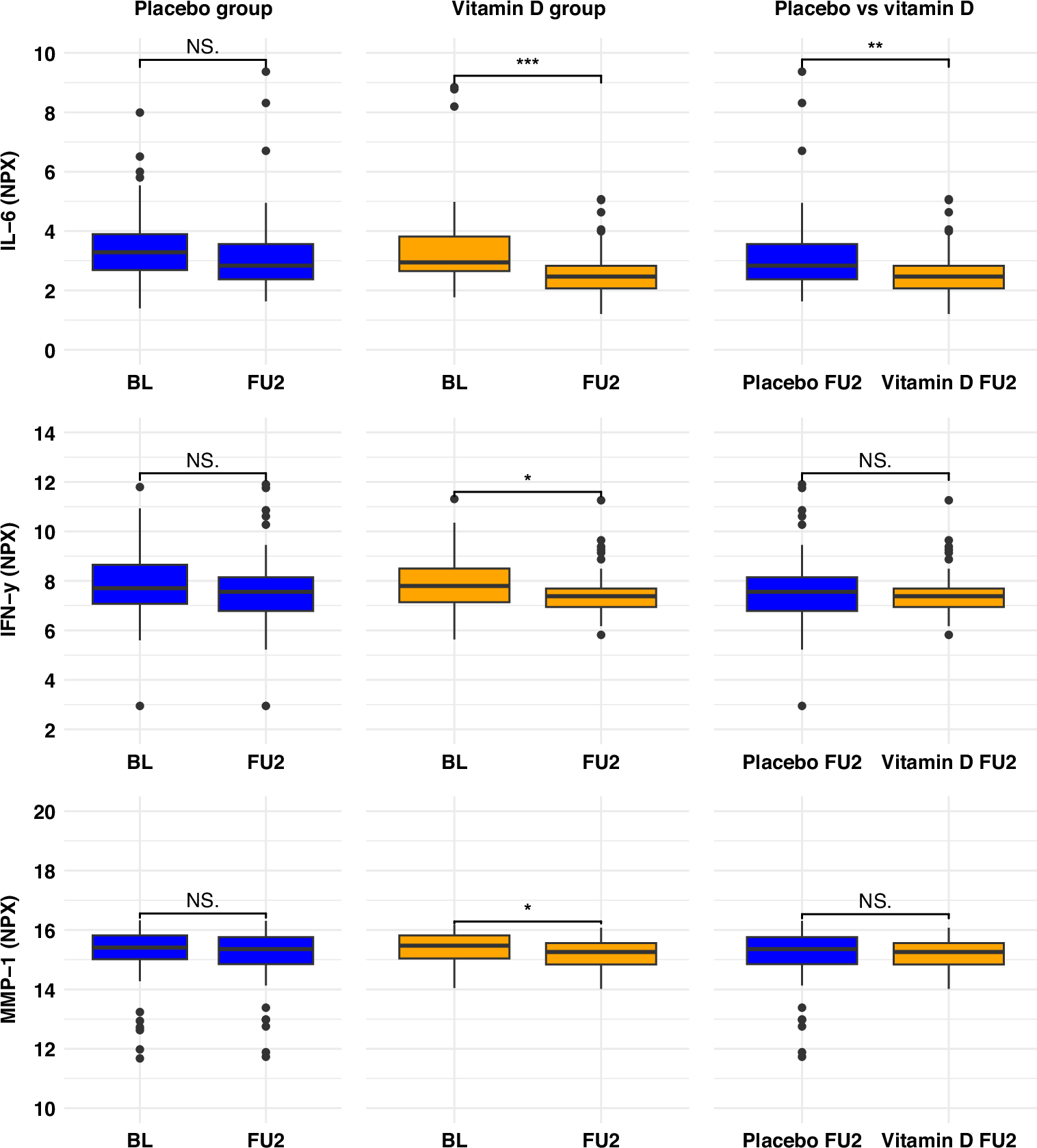
Fig. 3: Differences in mean biomarker levels at baseline and end of trial (intention-to-treat analysis).
From: Effects of personalized vitamin D3 on inflammation in colorectal cancer patients: a randomized trial

Box-and-whisker plots show concentrations of interleukin-6 (IL-6), interferon-γ (IFN-γ), and matrix metalloproteinase-1 (MMP-1) at baseline (BL) and end of trial (FU2) in the placebo and vitamin D3 groups, and between-group differences at FU2. Boxes represent medians and interquartile ranges, whiskers indicate 1.5× interquartile range, and points denote outliers. Statistical significance is indicated as NS (not significant), *p<0.05, **p<0.01 and ***p<0.001.