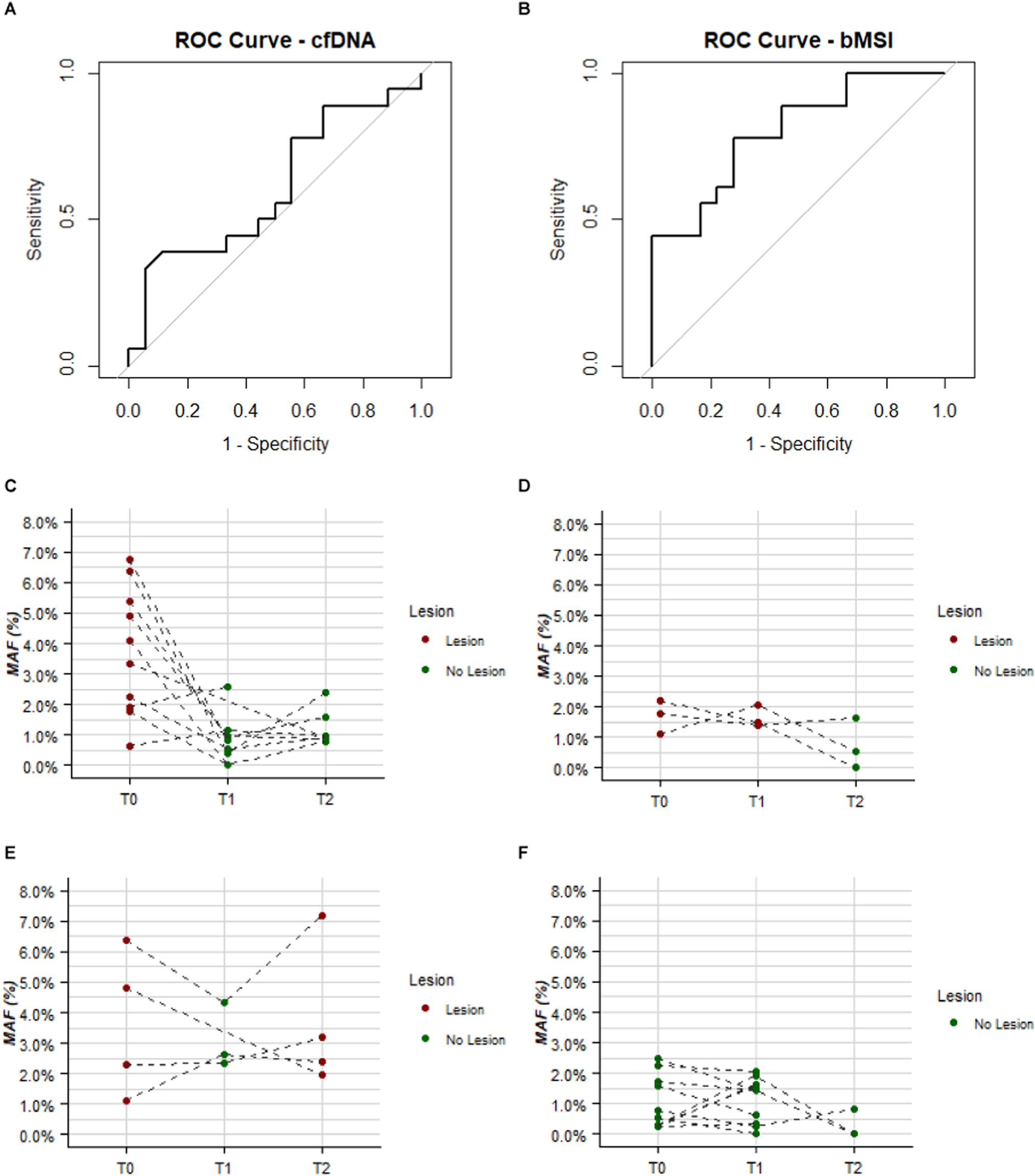
Fig. 6: Evaluating the utility of blood MSI (bMSI) to discriminate lesion-bearing patients.

ROC curves of the (A) cell free DNA (cfDNA) and (B) blood microsatellite instability (bMSI) discriminating patients with and without colorectal lesion at baseline. C–F Spaghetti plots reporting the time-trend profile of the bMSI according to patient’s cluster profile over time according to lesion presence. Dots and dashed dark gray lines indicate the patients’ values and their trend over time.