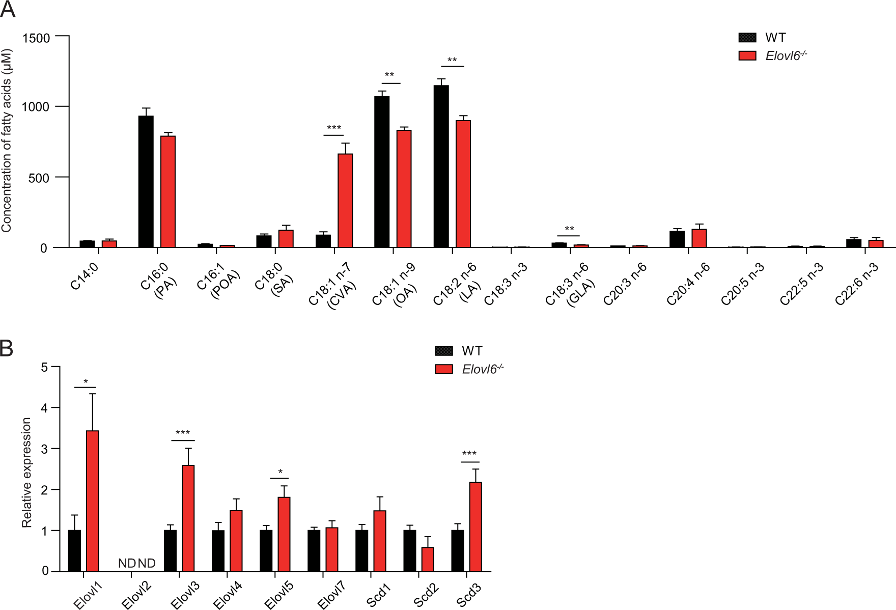
Fig. 4: Elovl6 suppressed cis-vaccenic acid (CVA) production in keratinocytes.
From: Elovl6 regulates mechanical damage-induced keratinocyte death and skin inflammation

a Fatty acid composition of epidermis in wild-type and Elovl6−/− mice (n = 4 per group). b Quantitative RT-PCR analysis of the epidermis for the expression of elongations of long-chain fatty acids (Elovl1~7) and stearoyl-CoA desaturases (Scd1~3) in wild-type and Elovl6−/− mice (n = 10). Error bars indicate SD. *P < 0.05, **P < 0.01, ***P < 0.001. ND not detected, PA palmitate, POA palmitoleate, SA stearate, CVA cis-vaccenic acid, OA oleic acid, LA linoleic acid, GLA γ-linolenic acid. Data are representative of two independent experiments