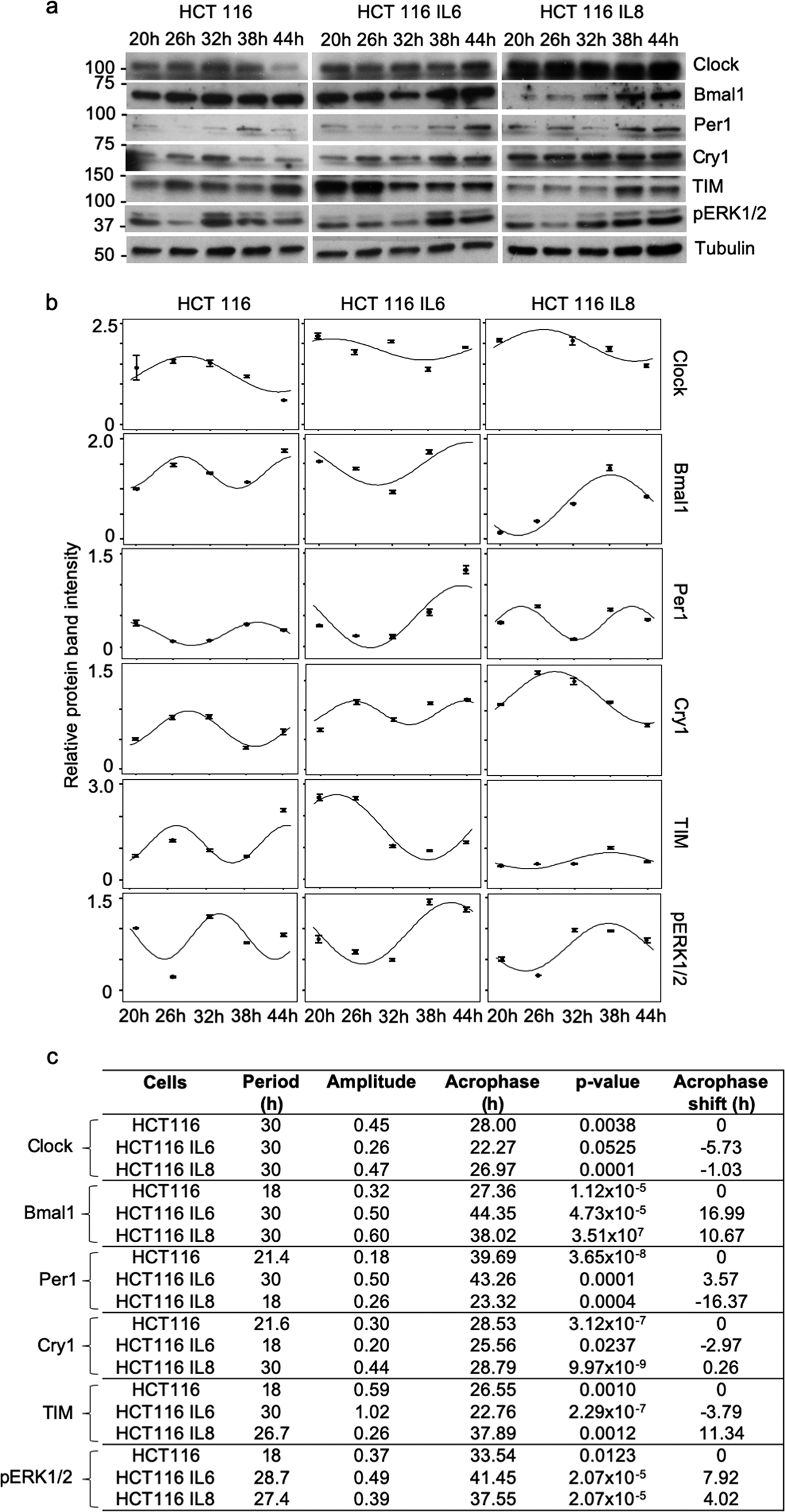
Fig. 4: Circadian rhythm protein expression phenotype of HCT116 cells treated with IL6 and IL8.
From: Effect of naive and cancer-educated fibroblasts on colon cancer cell circadian growth rhythm

a Results from the time-dependent western blot analysis of protein expression in the control HCT116 cells, HCT116 cells treated with IL6, and HCT116 cells treated with IL8. b Harmonic regression analysis curves based on the western blot band intensities. c Harmonic regression analysis of the circadian parameters based on the western blot band intensities.