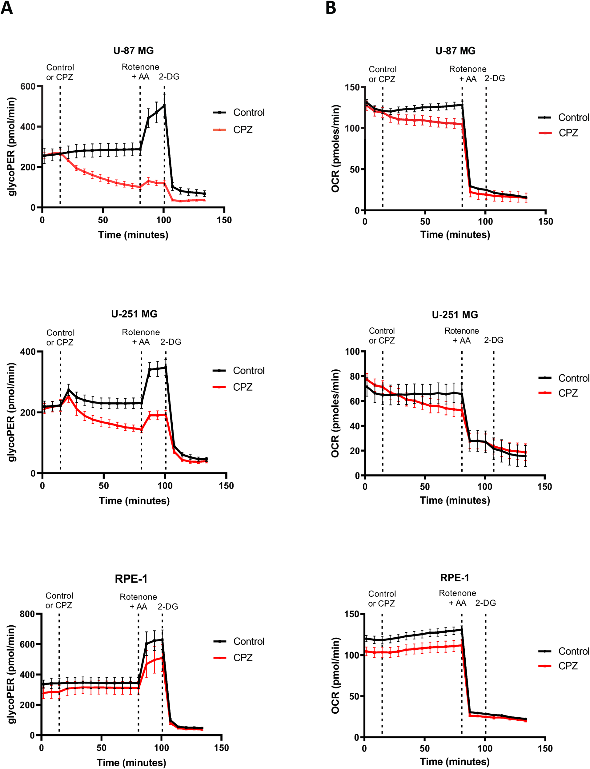
Fig. 3: Interference of CPZ with glucose metabolism in GBM cells.
From: Chlorpromazine affects glioblastoma bioenergetics by interfering with pyruvate kinase M2

Cells were incubated using the Seahorse XFp platform. Dashed vertical lines indicate, from left to right, the time of addition of CPZ or solvent for control, rotenone plus AA and 2-DG, respectively. Red lines represent CPZ-treated cells and black lines control (solvent-treated) cells. A GlycoPER plots related to U-87 MG, U-251 MG GBM cell lines and RPE-1 non-cancer cells. B OCR plots related to U-87 MG, U-251 MG GBM cell lines and RPE-1 non-cancer cells. All experiments were performed three times in triplicate. Representative graphs are shown here; dots and vertical bars indicate mean ± SD. Raw data from all experiments are available in Supplementary Material.