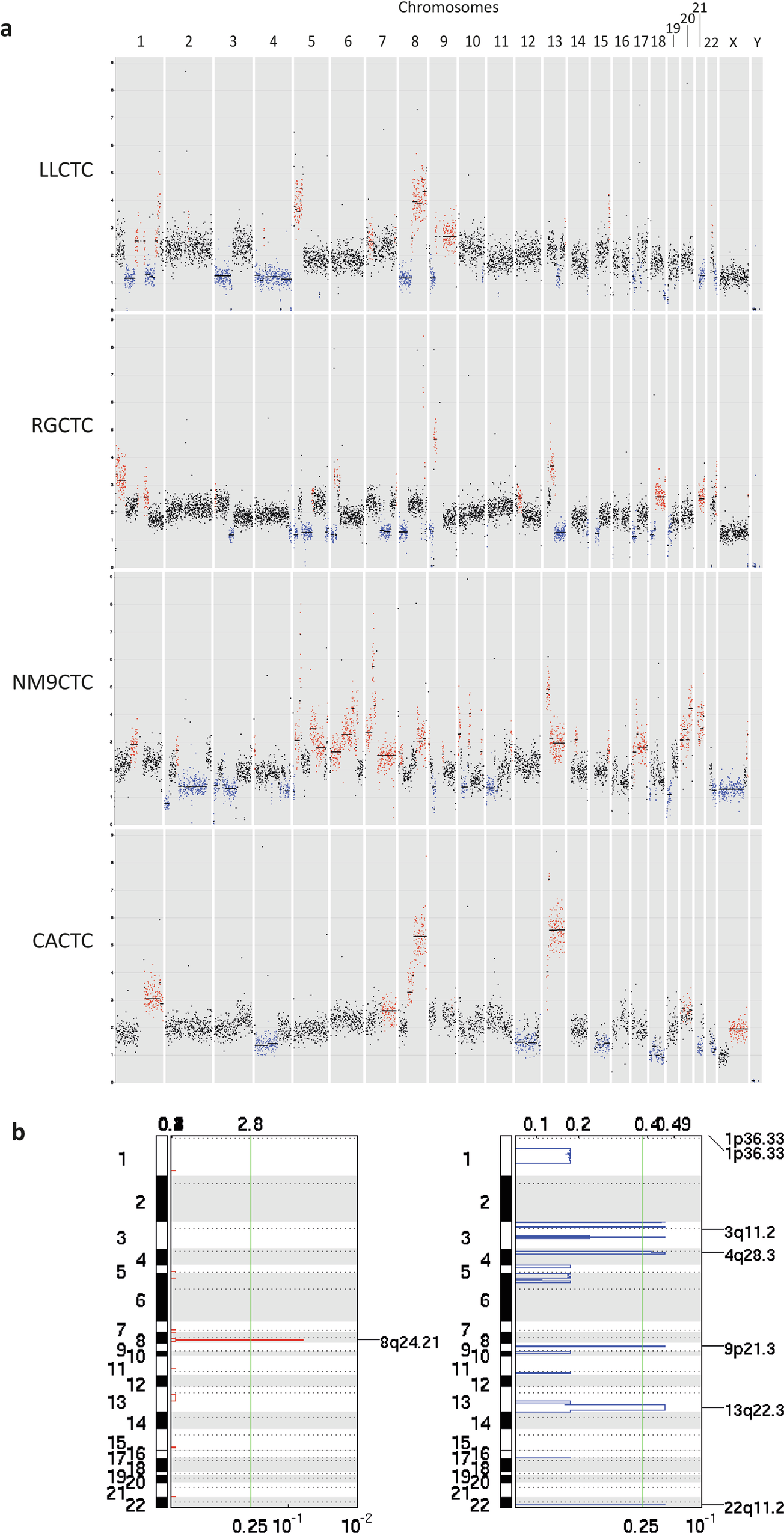
Fig. 3: Genomic landscape of the four CTC-derived cell lines.

a Graphical representation of CTC cell line copy number aberration (CNA) distribution across all chromosomes. Red dots represent amplifications, blue dots represent deletions (b) Significant copy number gains (red) and losses (blue) detected by GISTIC 2.0 (shown as peaks) shared between the cell lines.