Table 6 Summary of MQC-targeted natural products in anti-diabetic complications.
Natural Products | Source | Chemical Structure | Molecular Formula | Complica-tions | In vivo | In vitro | Targets | MQC Mechanisms | Reference |
|---|---|---|---|---|---|---|---|---|---|
Resveratrol | Rhizoma Polygoni Cuspidati |
| C14H12O3 | DCM | HFD/STZ-induced rats | H9c2 cells with HG | SIRT1/PGC-1α | Promoting mitogenesis | [229] |
Rosmarinic acid | Rosemary |
| C18H16O8 | DCM | HFD/STZ-induced mice | H9c2 cells with HG | SIRT1/PGC-1α | Promoting mitogenesis | [230] |
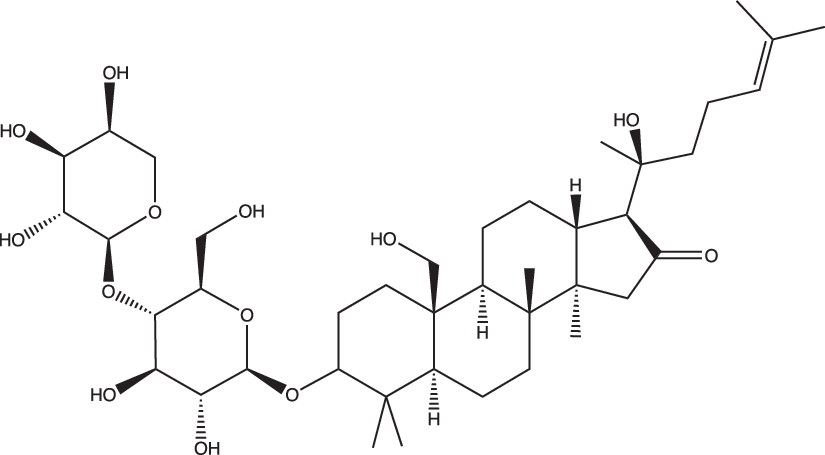
Astragaloside IV | Astragalus membranaceus (Fisch.) Bge. | C41H68O14 | DKD | Db/db mice | Mouse podocytes with phenylsulfate | SIRT1/PGC1α /NRF1 | Promoting mitogenesis | [231] | |
Db/db mice | / | DRP1,FIS1,PINK1,PARKIN | Inhibiting fission and mitophagy | [218] | |||||
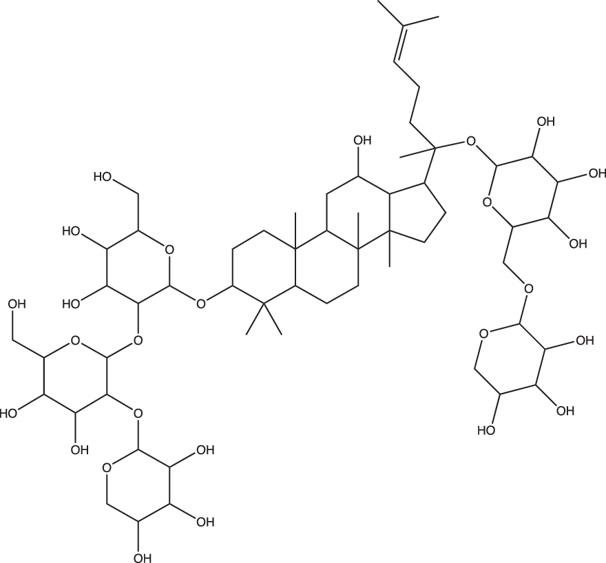
Astragaloside II | Astragalus membranaceus (Fisch.) Bge. | C43H70O15 | DKD | STZ-induced rats | / | MFN2, FIS1,PINK1, PARKIN | Inhibiting fission, promoting fusion and mitophagy | [233] | |
Salidroside | Rhodiola rosea |
| C14H20O7 | DKD | HFD/STZ-induced mice | / | SIRT1/PGC-1α | Promoting mitogenesis | [234] |
DCM | HFD/STZ-induced mice | / | SIRT3/AMPK; PGC-1α/TFAM | Promoting mitogenesis | [235] | ||||
Astragalin | Thesium Chinense Turcz |
| C21H20O11 | DKD | STZ-induced mice | HK-2 cells with HG and PA | AMPK/PGC-1α | Promoting mitogenesis | [236] |
Rhein | Rheum palmatum L. |
| C15H8O6 | DR | / | Müller cells with HG | AMPK/SIRT1/PGC-1α | Promoting mitogenesis | [237] |
Gynostemma pentaphyllum | Gynostemma pentaphyllum (Thunb.) Makino | C41H68O13 | DCM | HFD/STZ-induced rats | / | AMPK/NRF2/HO-1 | Promoting mitogenesis | [238] | |
Icariin | Epimedium | C33H40O15 | DCM | Db/db mice | NMCMs with HG | Apelin/Sirt3 | Promoting mitogenesis and fusion | [239] | |
DKD | STZ-induced rats | MPC-5 cells with HG | Sesn2 | Promoting mitophagy | [241] | ||||
Berberine | Berberis vulgaris;Coptis chinensis |
| C20H18NO4+ | DKD | Db/db mice | Mouse podocytes with PA | PGC-1α | Promoting mitogenesis | [242] |
Db/db mice | Mouse podocytes with PA | DRP1 | Inhibiting fission | [243] | |||||
Jinlida granules | / | / | / | DKD | Db/db mice | MPC-5 cells with HG | AMPK/PGC-1α | Promoting mitogenesis | [244] |
Si-Miao-Yong-An decoction | / | / | / | DCM | STZ-induced mice | / | GLC/PPARα/PGC-1α | Promoting mitogenesis | [245] |
Tanshinone IIa | Salvia miltiorrhiza Bunge |
| C19H18O3 | DR | / | BRECs with MGO | GLO1 | Inhibiting fission | [181] |
Supplemented Gegen Qinlian Decoction | / | / | / | DKD | HFD/STZ-induced rats | MPC-5 cells with HG | RIPK1/RIPK3/MLKL | Inhibiting fission | [246] |
Paeonol | Paeonia albiflora | C9H10O3 | DCM | STZ-induced rats | NRCMs with HG | CK2α/JAK2/STAT3/OPA1 | Promoting fusion | [247] | |
Punicalagin | Punica granatum L. | C48H28O30 | DCM | STZ-induced rats | NRCMs with HG | PTP1B/STAT3/OPA1 | Promoting fusion | [248] | |
Modified Hu-lu-ba-wan | / | / | / | DKD | Db/db mice | MPC-5 cells with AGEs | PKM2/PGC-1α/OPA1 | Promoting fusion, inhibiting fission | [249] |
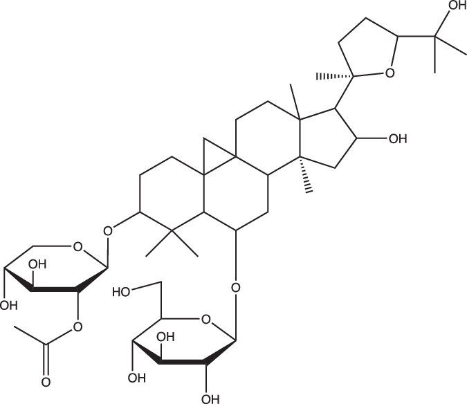
Notoginsenoside Fc | P.notoginseng | C58H98O26 | DKD | Db/db mice | MGECs with HG | HMGCS2 | Promoting fusion, inhibiting fission | [250] | |
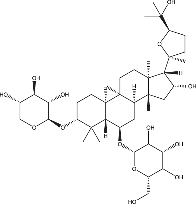
Asiatic acid | Centella asiatica |
| C30H48O5 | DKD | STZ-induced rats | HK-2 cells with AGEs | NRF-2 | Promoting fusion, inhibiting fission | [251] |
Fufang Zhenzhu Tiaozhi | / | / | / | DCM | HFD/STZ-induced mice | H9c2 cells with PA | MFN2, OPA1,DRP1, FIS1 | Promoting fusion, inhibiting fission | [252] |
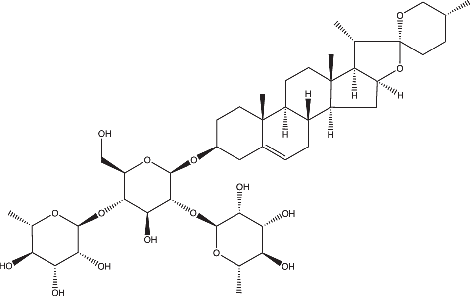
Dioscin | Dioscorea zingiberensis C.H. Wright | C45H72O16 | DKD | HFD/STZ-induced rats | / | MFN2,DRP1,PINK1,PARKIN | Promoting fusion and mitophagy, inhibiting fission | [253] | |
Baicalin | Scutellaria baicalensis |
| C21H18O11 | DCM | Db/db mice | H9c2 cells with HG | SENP1/SIRT3 | Promoting fusion and mitophagy, inhibiting fission | [254] |
Notoginsenoside R1 | Panax notoginseng |
| C47H80O18 | DR | Db/db mice | rMC-1 cells with HG | PINK1/PARKIN | Promoting mitophagy | [255] |
Germacrone | Curcuma kwangsiensis S.G.Lee et C.F.Liang |
| C15H22O | DKD | Db/db mice | HK-2 cells with HG | PINK1/PARKIN | Promoting mitophagy | [256] |
Huangqi-Danshen decoction | / | / | / | DKD | Db/db mice | / | PINK1/PARKIN | Promoting mitophagy | [257] |
Qing-Re-Xiao-Zheng-Yi-Qi Formula | / | / | / | DKD | STZ-induced rats | MPC-5 cells with HG | PINK1/PARKIN | Promoting mitophagy | [258] |
San-Huang-Yi-Shen Capsule | / | / | / | DKD | HFD/STZ-induced rats | / | PINK1/PARKIN | Promoting mitophagy | [259] |
JinChanYiShen TongLuo Formula | / | / | / | DKD | STZ-induced rats | HK-2 cells with HG | HIF-1α/PINK1/PARKIN | Promoting mitophagy | [260] |
Huangkui capsule | / | / | / | DKD | HFD/STZ-induced mice | HK-2 cells with HG | STING1/PINK1 | Promoting mitophagy | [261] |
Hyperforin | Hypericum perforatum L. |
| C35H52O4 | DKD | HFD/STZ-induced mice; db/db mice | HK-2 cells with HG | DLAT/AMPK | Promoting mitophagy | [171] |
Ginsenoside Ro | Panax ginseng C. A. Meyer | C48H76O19 | DR | HFD/STZ-induced mice | hRMECs with AGEs | EPAC1/AMPK | Promoting mitophagy | [262] | |
Poricoic acid A | Poria cocos (Schw.) Wolf |
| C31H46O5 | DKD | / | MPC-5 cells with HG | FUNDC1 | Promoting mitophagy | [263] |
Heyingwuzi formulation | / | / | / | DR | STZ-induced mice | HRCECs with HG | HIF-1α/BNIP3/NIX | Promoting mitophagy | [264] |





















