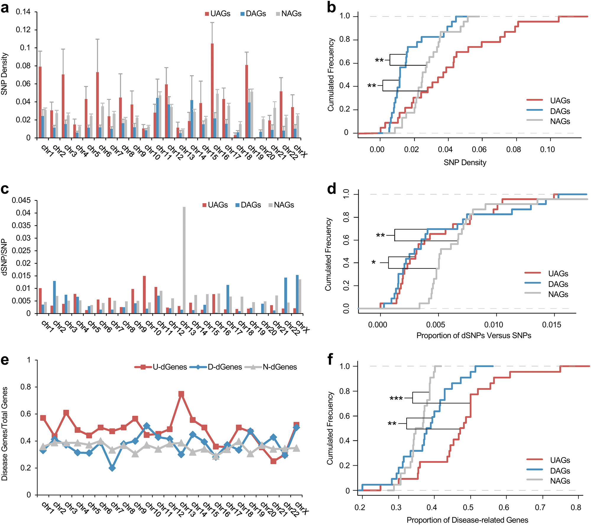
Fig. 4: SNP distribution and disease relation of age-associated genes.
From: An analysis of aging-related genes derived from the Genotype-Tissue Expression project (GTEx)

a Distribution of average SNP density value for UAGs, DAGs and NAGs across chromosomes. The standard error of mean (SEM) in every chromosome is presented by error bars. b Cumulative distribution plot for the average SNP density across chromosomes. c Distribution for the fraction of disease-related SNP (dSNP) in the total number of SNPs across chromosomes among UAGs, DAGs and NAGs. d Cumulative distribution plot for the proportion of dSNP compared with total SNP. e The proportion of disease-related genes contained in UAGs, DAGs and NAGs across chromosomes. UAGs presented a much closer relationship with diseases. dGenes: disease-related genes; U, D, N: short for UAG, DAG, NAG, respectively. f Cumulative distribution plot for the proportion of disease-related genes. *P < 0.05, **P < 0.01, ***P < 0.001 from Wilcoxon test