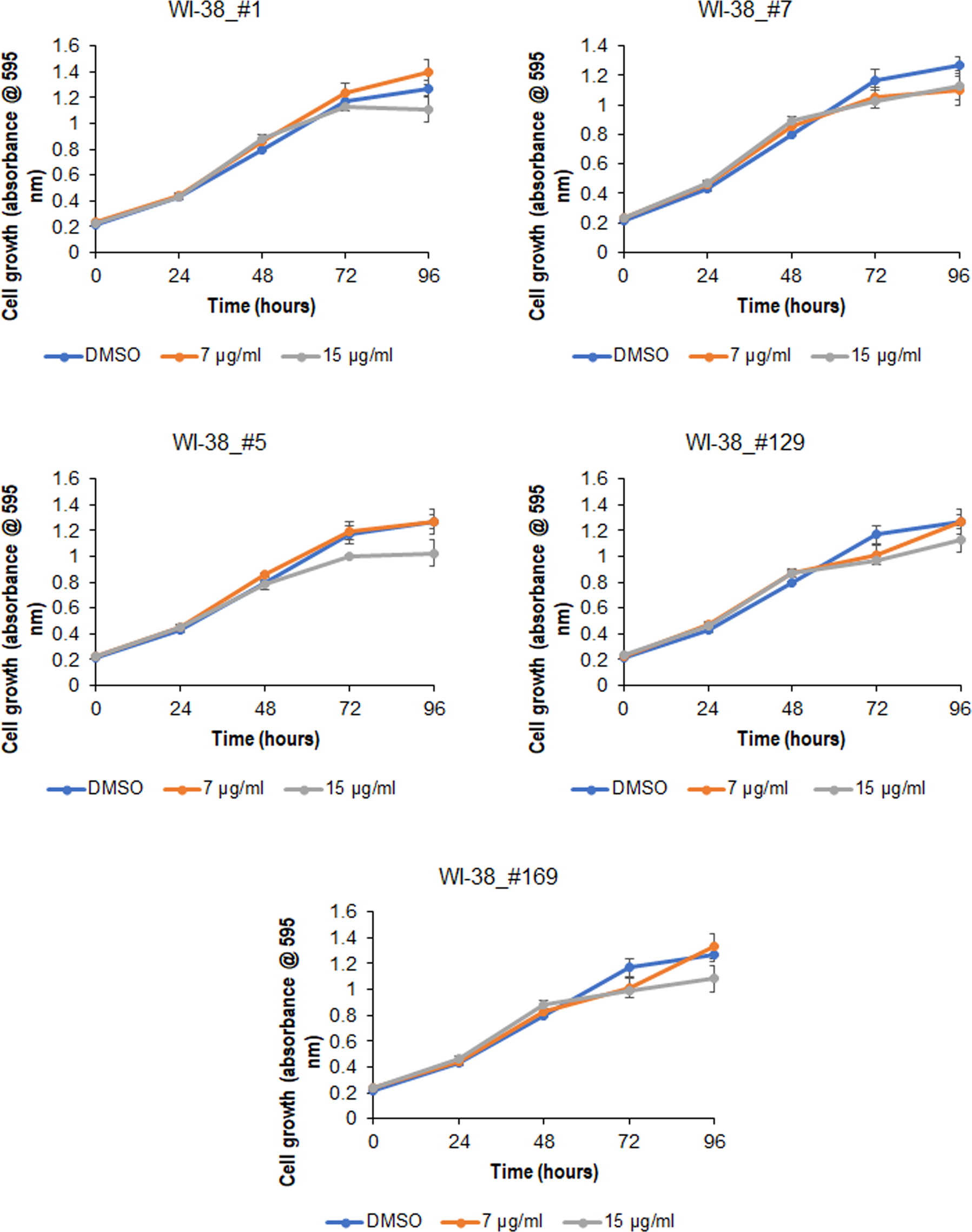
Fig. 7: Effect of the selected cannabis extracts on the proliferation of human lung fibroblasts.
From: New AKT-dependent mechanisms of anti-COVID-19 action of high-CBD Cannabis sativa extracts

MTT assay was performed in WI-38 cells treated with the indicated extracts, 0.025% DMSO served as a control.