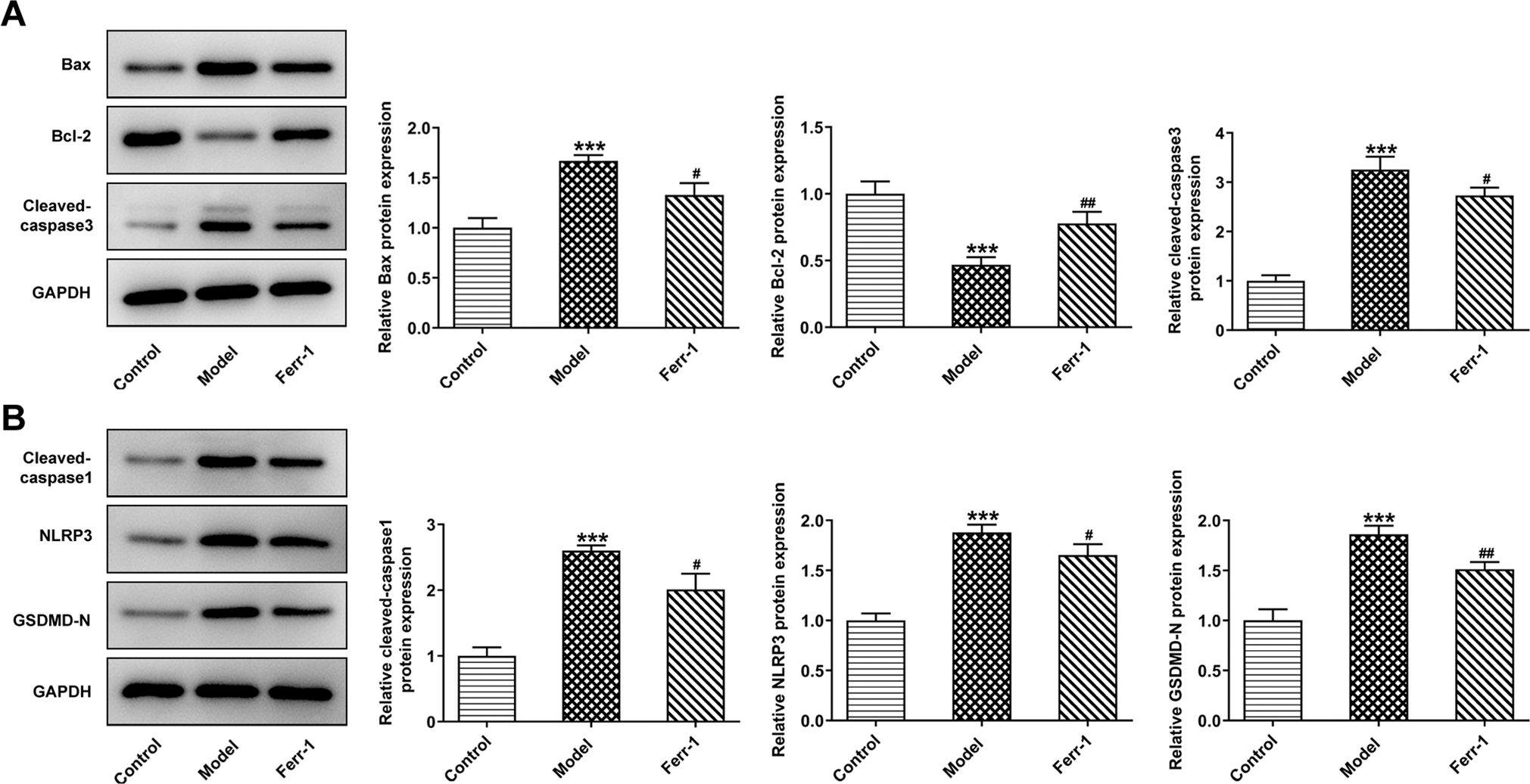
Fig. 5: Ferr-1 regulates the expression of apoptosis and pyroptosis-related proteins in retinal tissues of DR rats.

A Western blot detected the expression of apoptosis-related proteins Bax, Bcl-2, and the cleavage of caspase-3. B Western blot detected the expression of pyroptosis-related proteins the cleavage of caspase-1, NLRP3, and GSDMD-N. ***P < 0.001 vs control. #P < 0.05, ##P < 0.01 vs Model.