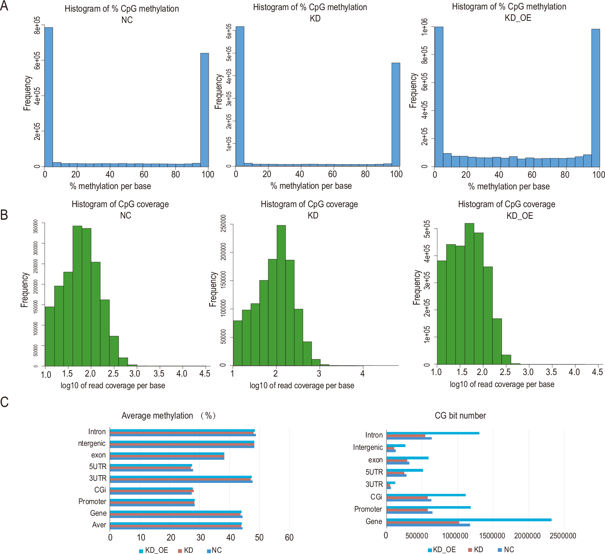
Fig. 11: The increased expression of DNMT1 under NUP37 knockdown led to the increased methylation of several cell signaling pathway genes related to cell proliferation and invasion.
From: NUP37 promotes the proliferation and invasion of glioma cells through DNMT1-mediated methylation

A CpG distribution at different methylation levels in glioma cells after NUP37 knockout. B CpG site coverage in glioma cells after NUP37 knockout. C Distribution of CpG and methylation distribution of CpG in functional elements.