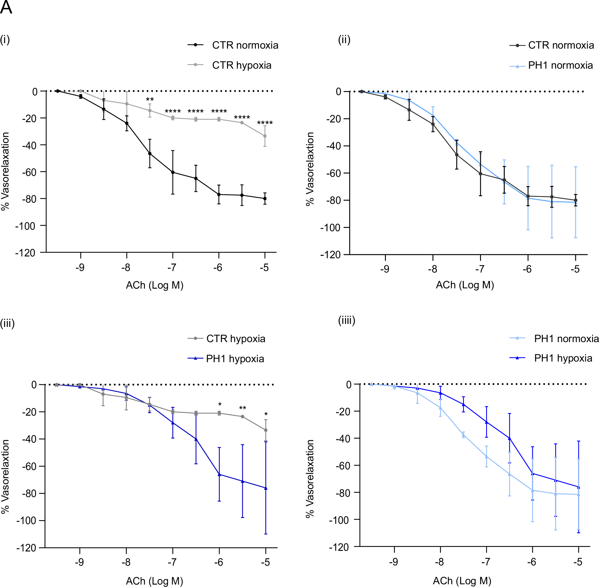
Fig. 2: GRK2 improves vasodilation under hypoxia.

In A, Vascular reactivity of the isolated femoral vessel in response to increasing doses of acetylcholine (Ach). Concentration–response curves for CTR and PH1-treated vessels are generated for normoxic and hypoxic conditions. Data are the mean of 3 independent experiments ± SEM. Two-way ANOVA, *p < 0.05, **p < 0,01.