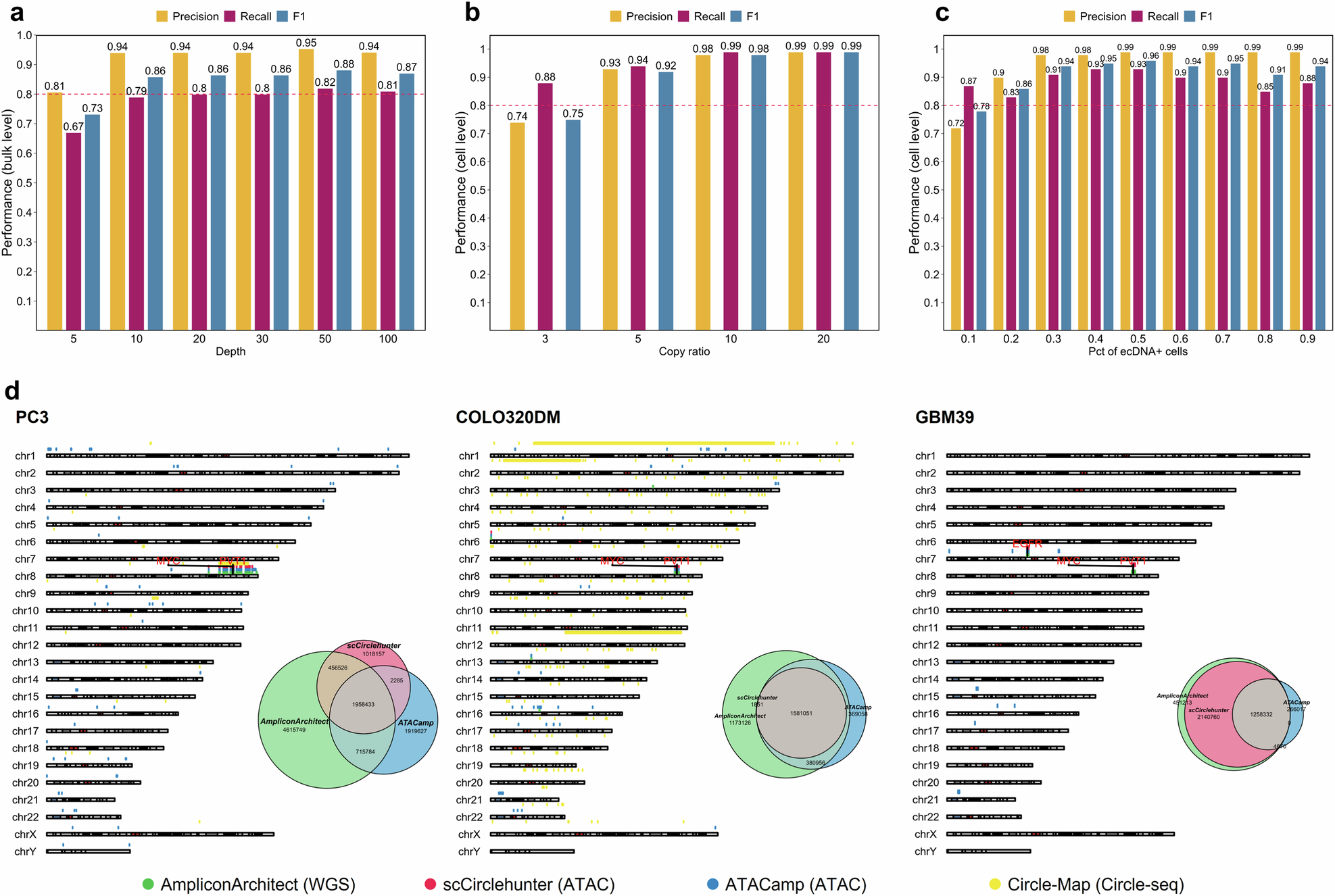
Fig. 2: scCirclehunter performance based on simulated and real data.

a Precision, recall, and F1 score of ecDNA detection with varying mock ecDNA local depth at 50 bp read length. b Precision, recall, and F1 score of GMM in discriminating cells with simulated local amplification, across varying amplification copy ratios. c Precision, recall, and F1 score of scCirclehunter in distinguishing ecDNA+ SW480 cells from ecDNA‒ DLD1 cells when setting different proportions of ecDNA+ cells. d Karyotype plots depicting genomic distributions of circular regions detected across all tools. Euler diagrams visualizing overlap among regions identified by AA, scCirclehunter, and ATACamp.