Fig. 2
From: Naturally occurring spike mutations influence the infectivity and immunogenicity of SARS-CoV-2

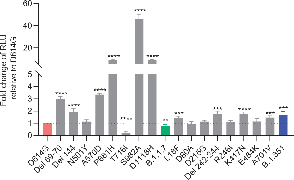
Mutations in spike altered viral entry of SARS-CoV-2 variants. Two nanograms of pseudotyped virus (based on p24 concentration determined by ELISA) was added to hACE2-expressing 293T cells. Luciferase intensity was measured 2 days later. All experiments were performed in quadruplicate. RLUs of different variants were compared with the results for D614G. Data were analyzed for statistical significance using unpaired Student’s t test between the reference (D614G) group and other groups. Data are shown as the mean with SD in each group. **P < 0.01; ***P < 0.001; ****P < 0.0001