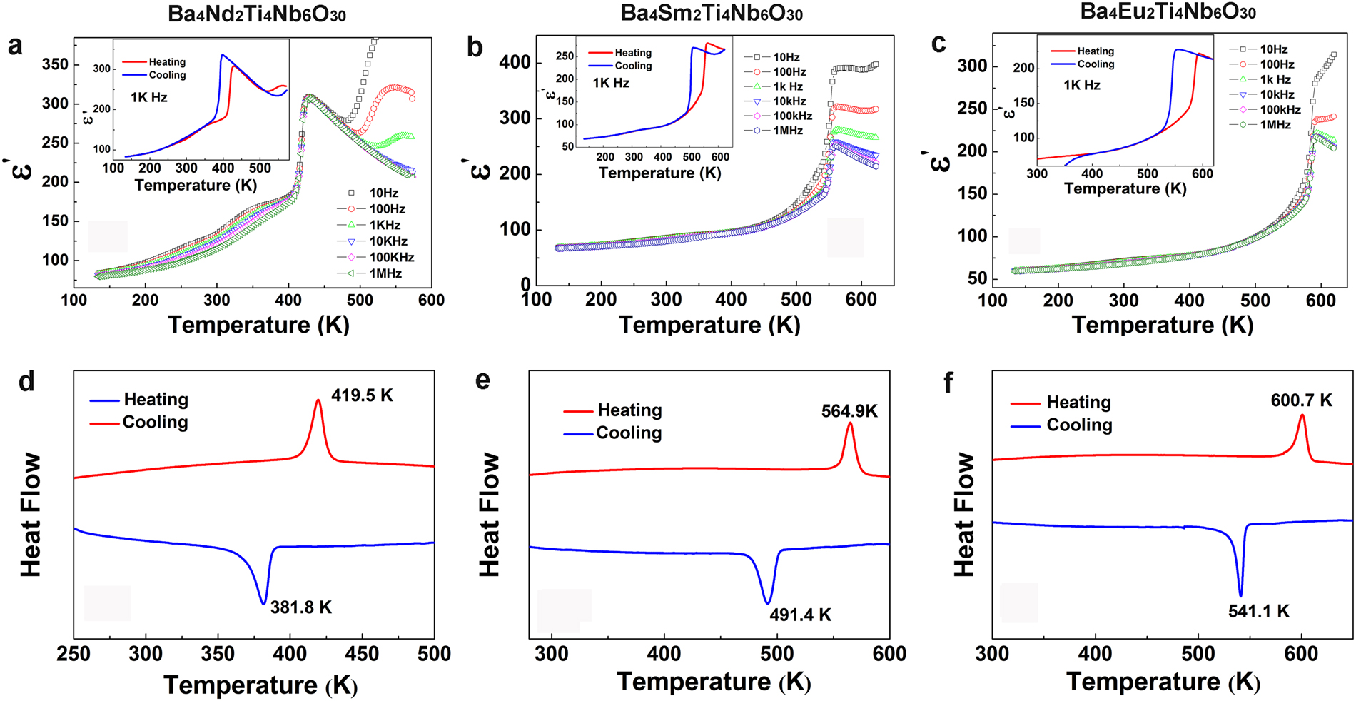
Fig. 1: First-order ferroelectric transition of tungsten bronze Ba4R2Ti4Nb6O30 ceramics.

a–c Temperature dependence of the dielectric constant at different frequencies: a R = Nd; b R = Sm; c R = Eu. The insets show the dielectric constant vs. temperature curves for heating and cooling cycles at 1 kHz. d–f Results of the DSC heating and cooling cycles for d Ba4Nd2Ti4Nb6O30; e Ba4Sm2Ti4Nb6O30; f Ba4Eu2Ti4Nb6O30