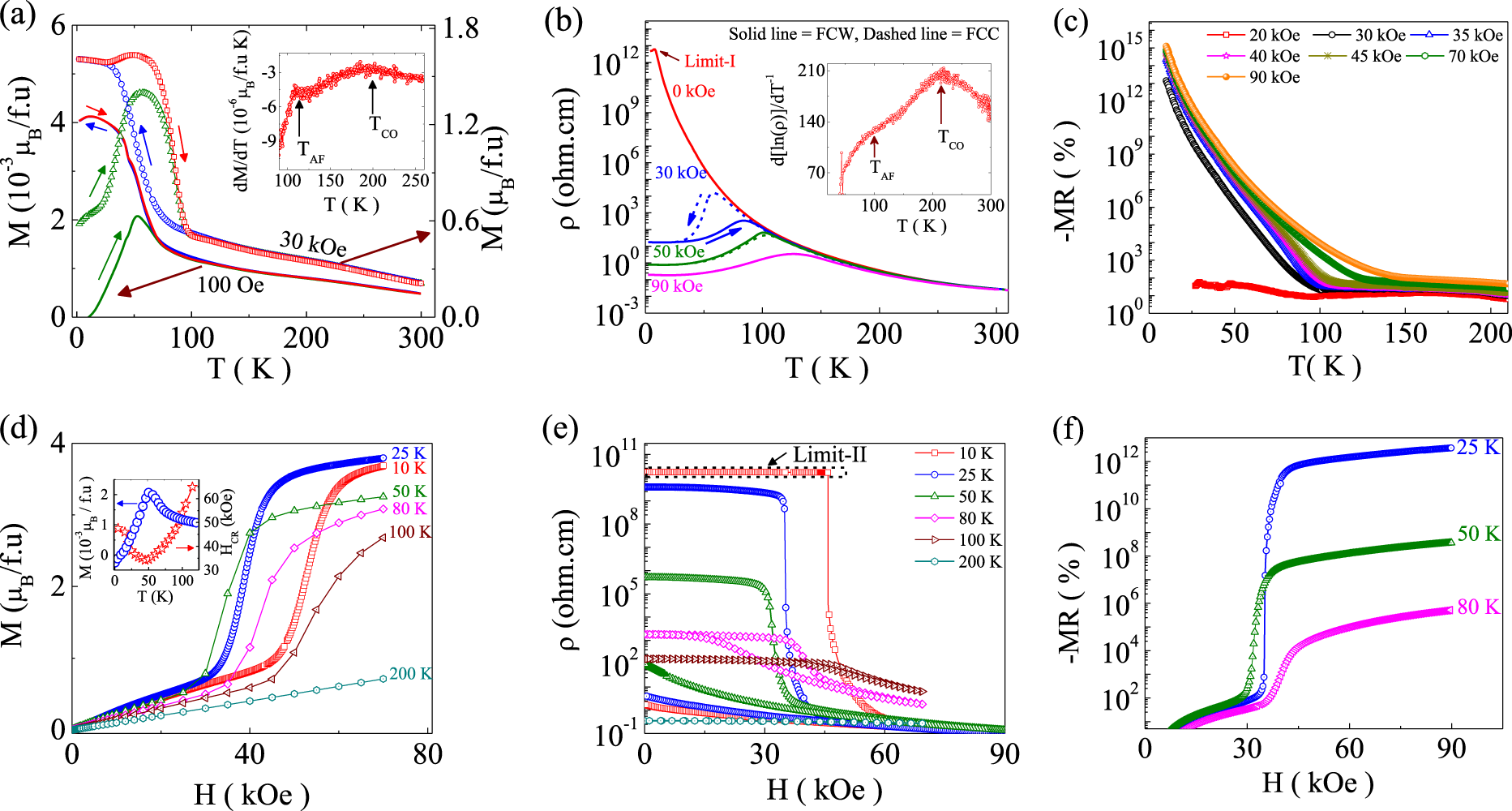
Fig. 2: Magnetotransport properties

a Variation of magnetization with temperature in 100 Oe and 30 kOe external magnetic fields. The inset shows the signature of CO and AFM ordering, indicated by arrows, from the temperature derivative of M(T) data taken in the field cooled warming (FCW) protocol in the presence of a 100 Oe magnetic field. b Temperature-dependent resistivity without (red) and with (30 kOe (blue), 50 kOe (olive) and 90 kOe (violet)) external magnetic fields. The dotted lines represent the resistivity data taken during the field cooling cycle, and the solid lines represent the FCW cycle. The inset shows the variation of the activation energy (EA ∞ d[ln(ρ)]/dT−1) with temperature, calculated from the temperature dependence of the zero field resistivity data, and the ordering temperatures are indicated by arrows. c Magnetic field dependence of MR on temperature for different magnetic fields. d Magnetization vs. magnetic field and e resistivity vs. magnetic field at different temperatures. The inset in d shows the temperature dependence of HCR and zero field cooled (ZFC) magnetization in a 100 Oe magnetic field. f Magnetic field-dependent magnetoresistance at three different temperatures. See the materials and methods section for an explanation of limit-I and limit-II, mentioned in b and e, respectively