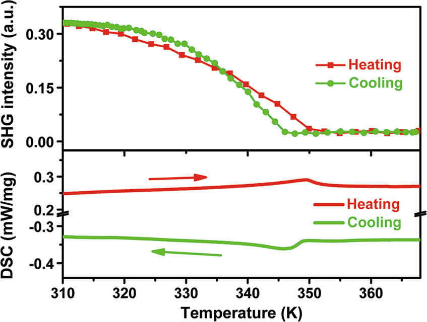
Fig. 1: Thermal and SHG properties of 1.

DSC curves (bottom) and temperature-dependent SHG intensity (top) for 1, which reveal a reversible structural phase transition near 348 K

DSC curves (bottom) and temperature-dependent SHG intensity (top) for 1, which reveal a reversible structural phase transition near 348 K