Fig. 2
From: A new quasi-one-dimensional compound Ba3TiTe5 and superconductivity induced by pressure

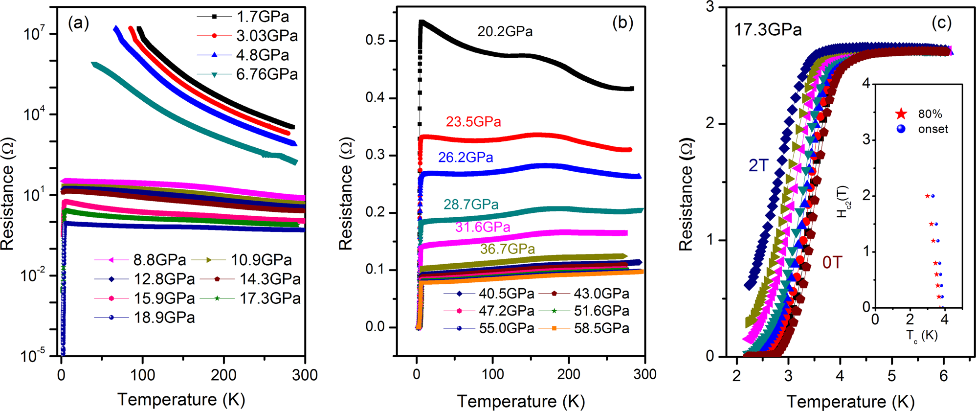
(a) and (b) are the temperature dependence of the resistance for Ba3TiTe5, measured under high pressure, with the highest experimental pressure being 58.5 GPa. c The superconducting transition dependence on the magnetic field at 17.3 GPa