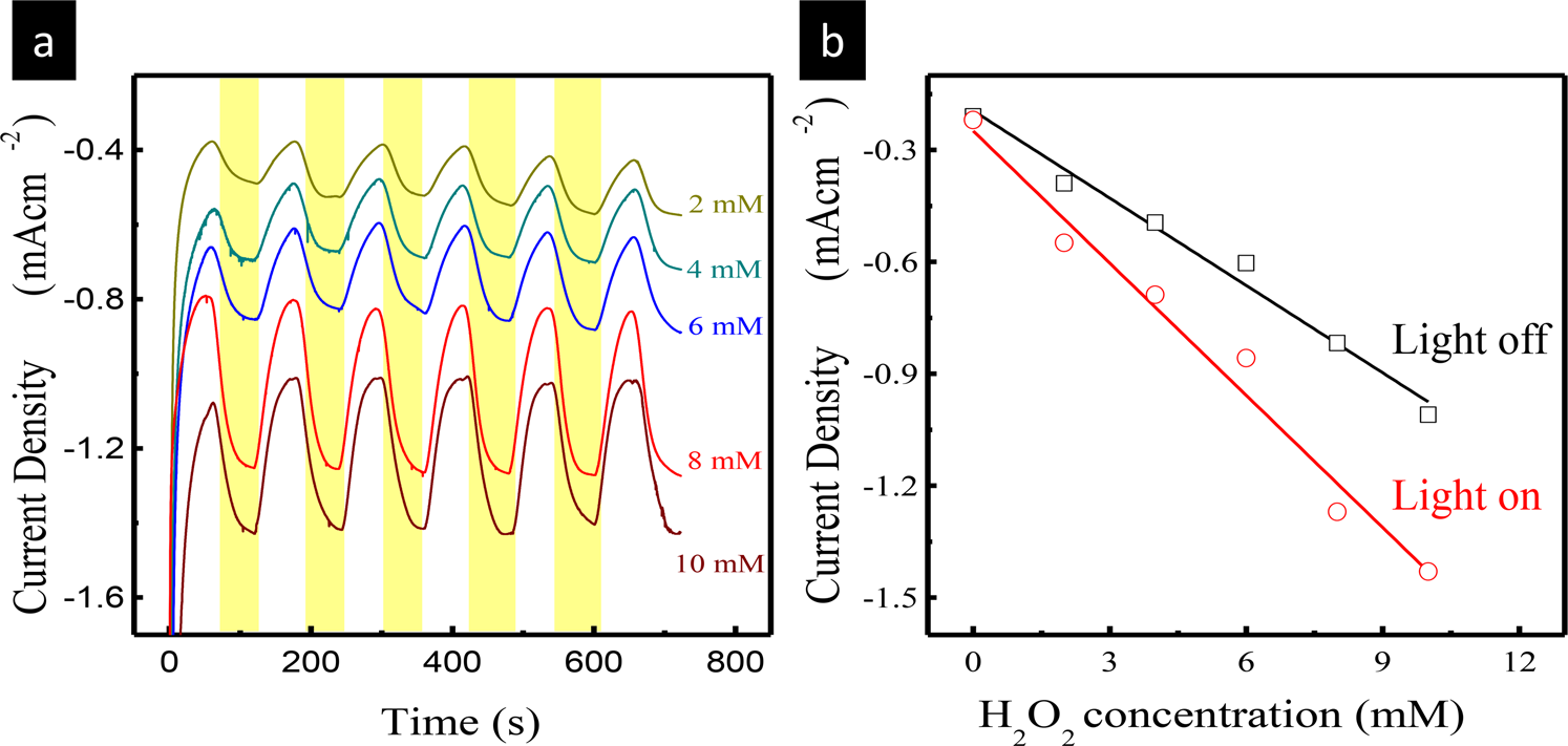
Fig. 5: Proof-of-concept LSPR-mediated detection of ultradiluted H2O2 via a solar-illuminated Ag NW/CC photoelectrode.
From: Semiconductor-free nanoplasmonic photoelectrochemistry of H2O2 over Ag nanowires

a Temporal current responses of Ag NWs/CC measured at an external bias of −0.8 V (vs. Ag/AgCl) under chopped solar illumination in the PBS electrolyte with H2O2 at different concentrations, wherein b the photocurrent (red) and dark current (black) are further plotted as a function of the concentration of H2O2 in PBS.