Table 3 Chemical structures, healing ratios, and healing conditions of materials containing ionic bonds.

From: Design of self-healing and self-restoring materials utilizing reversible and movable crosslinks

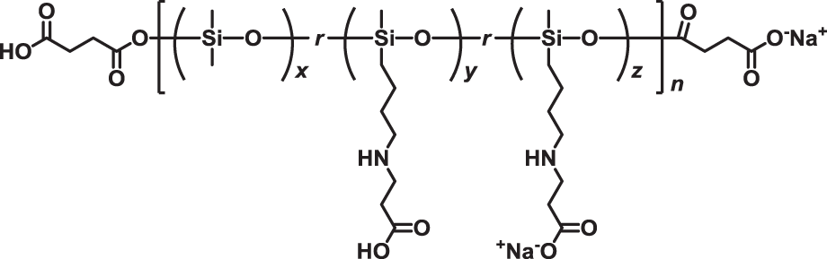
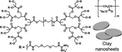
Motif

Healing ratio (time/temperature)

Refs.

View full size image

Quantitatively

31

Gf/Gf0 ~99% (24 h/25 °C)

32

σ/σo = 98% (4 h/80 °C)

33

View full size image

Gf/Gf0 ~90% (8 h/26 °C/CO2 gas) Gf/Gf0 ~90% (1 week/−10 °C/CO2 gas)

34