Table 4 Chemical structures, healing ratios, and healing conditions of supramolecular materials based on host-guest interactions between host and guest polymers.

From: Design of self-healing and self-restoring materials utilizing reversible and movable crosslinks

Host polymer or host substrate

Guest polymer

Healing ratio (time/temperature)

Refs.

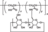
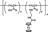
pAA-6βCD

pAA-Fc

σ/σo = 84% (24 h/r.t.)

51

pMMA-DB24C8

Bisammonium salts

Quantitatively (cracks disappear in 4 min)

52

pDIBO-pillar[5]arene

pDIBO-cyanoalkyl

Quantitatively

53

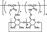
pEA-AcβCD

pEA-Ad

λ/λo = 72% (10 min/60 °C)

54

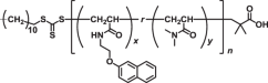
Cucurbit [8]uril

MV-functional polymer

Np-functional polymer

Quantitatively

55

Polyacrylamide with 1-benzyl-3-vinylimidazolium

λ/λo = 100% (12 h/25 °C)

56

  1. λ/λo represents the healing ratio of fracture strain.