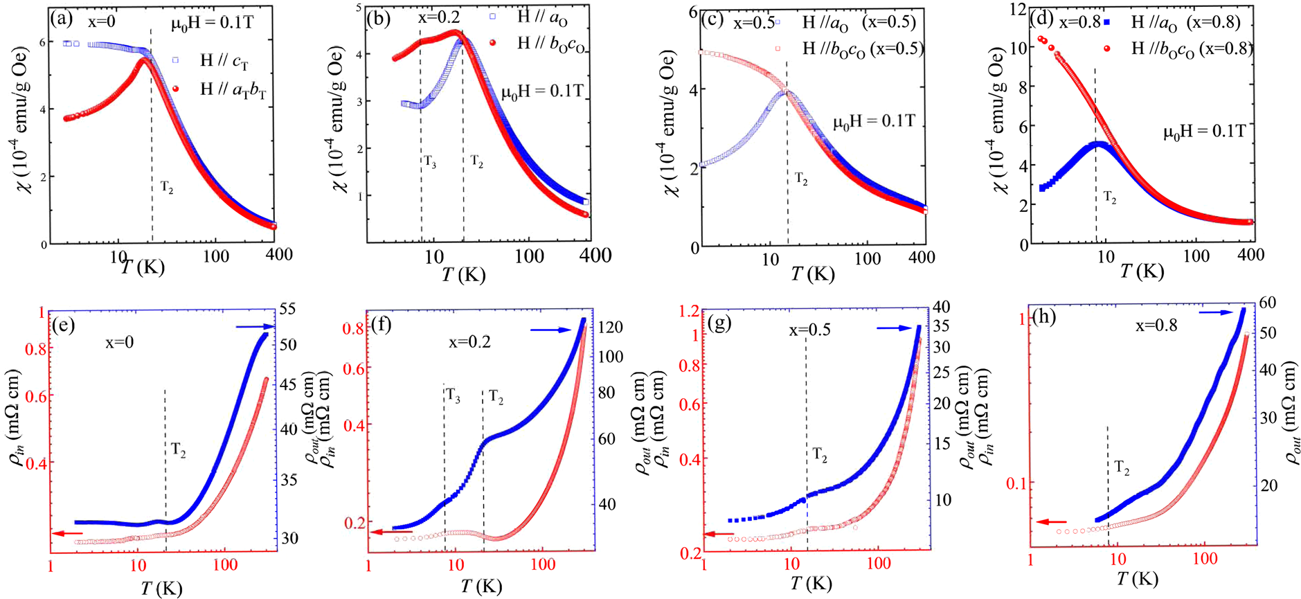
Fig. 3: Susceptibility and resistivity of Eu1−xSrxMn1−zSb2.
From: Toward tunable quantum transport and novel magnetic states in Eu1−xSrxMn1−zSb2 (z < 0.05)

Temperature dependence of the susceptibility of a x = 0 with a magnetic field of 0.1 T parallel to the out-of-plane cT and in-plane aTbT directions and b x = 0.2, c x = 0.5, and d x = 0.8 with the field parallel to the out-of-plane aO and in-plane bOcO directions. Temperature dependence of the out-of-plane resistivity ρout and in-plane longitudinal resistivity ρin at zero magnetic field for e x = 0, f x = 0.2, g x = 0.5 and h x = 0.8.