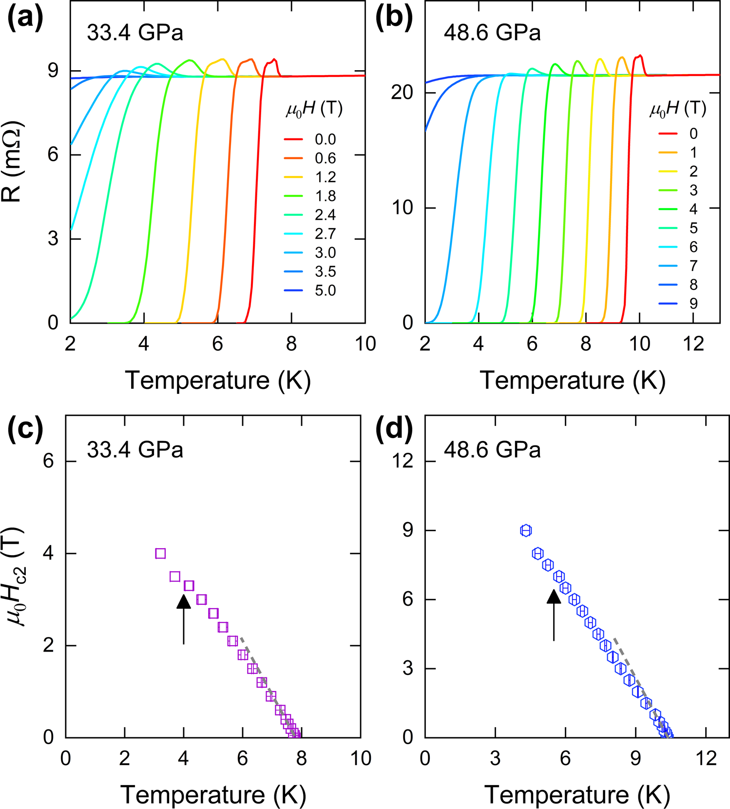
Fig. 2: Upper critical fields of Y under pressure.
From: Spectroscopic evidence for the superconductivity of elemental metal Y under pressure

a Electrical resistance of Y as a function of temperature for representative magnetic fields at 33.4 GPa and b at 48.6 GPa. c Temperature dependence of the upper critical fields, μ0Hc2(T), at 33.4 GPa and d 48.6 GPa, where Tc is determined to be the temperature at which the resistance deviates from normal-state behavior. We note that the Tc onset is consistent with that determined from the PCS (see Fig. S4 in the Supplementary Information). The dashed lines indicate the initial slope of μ0Hc2(T) near Tc. The arrows mark a kink in μ0Hc2(T).