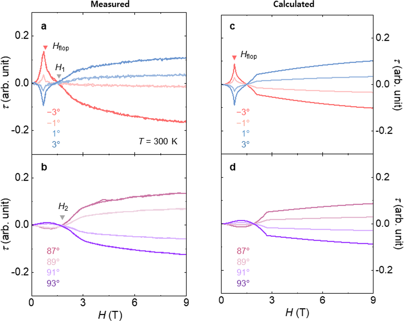
Fig. 3: Anisotropic magnetic torques at room temperature.

a H dependence of the magnetic torque, τ, measured at θ = −3, −1, 1, and 3° for T = 300 K. The red and gray inverted triangles indicate the occurrence of spin flops at Hflop and crossing of the zero τ value at H1, respectively. b H dependence of τ measured at θ = 87, 89, 91, and 93° for T = 300 K. The gray inverted triangle denotes the crossing of the zero τ value at H2. c Calculated H-dependent τ for θ = −3, −1, 1, and 3°. d Calculated H-dependent τ for θ = 87, 89, 91, and 93°.