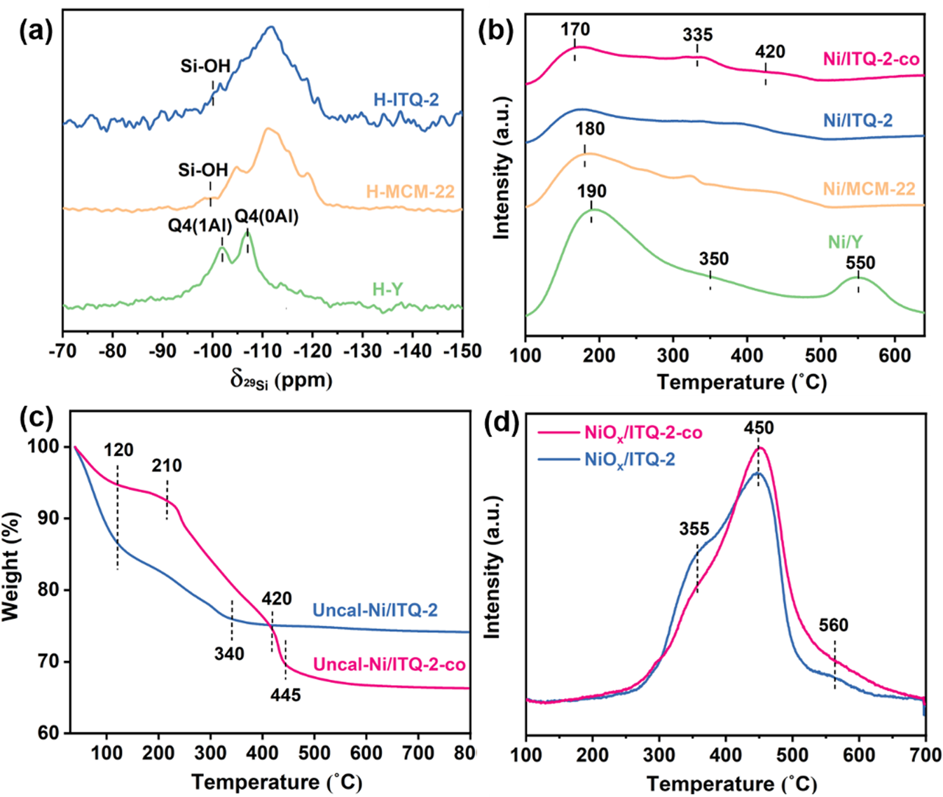
Fig. 2: Framework environment of supports and evolution of Ni species during activation process.

a 29Si NMR spectra of the prepared zeolite supports. b NH3-TPD profiles of the prepared Ni/zeolite samples; c TG analyses of the uncalcined Ni/ITQ-2 and Ni/ITQ-2-co samples; d H2-TPR profiles of the NiOx/ITQ-2 and NiOx/ITQ-2-co materials that were calcined before reduction.