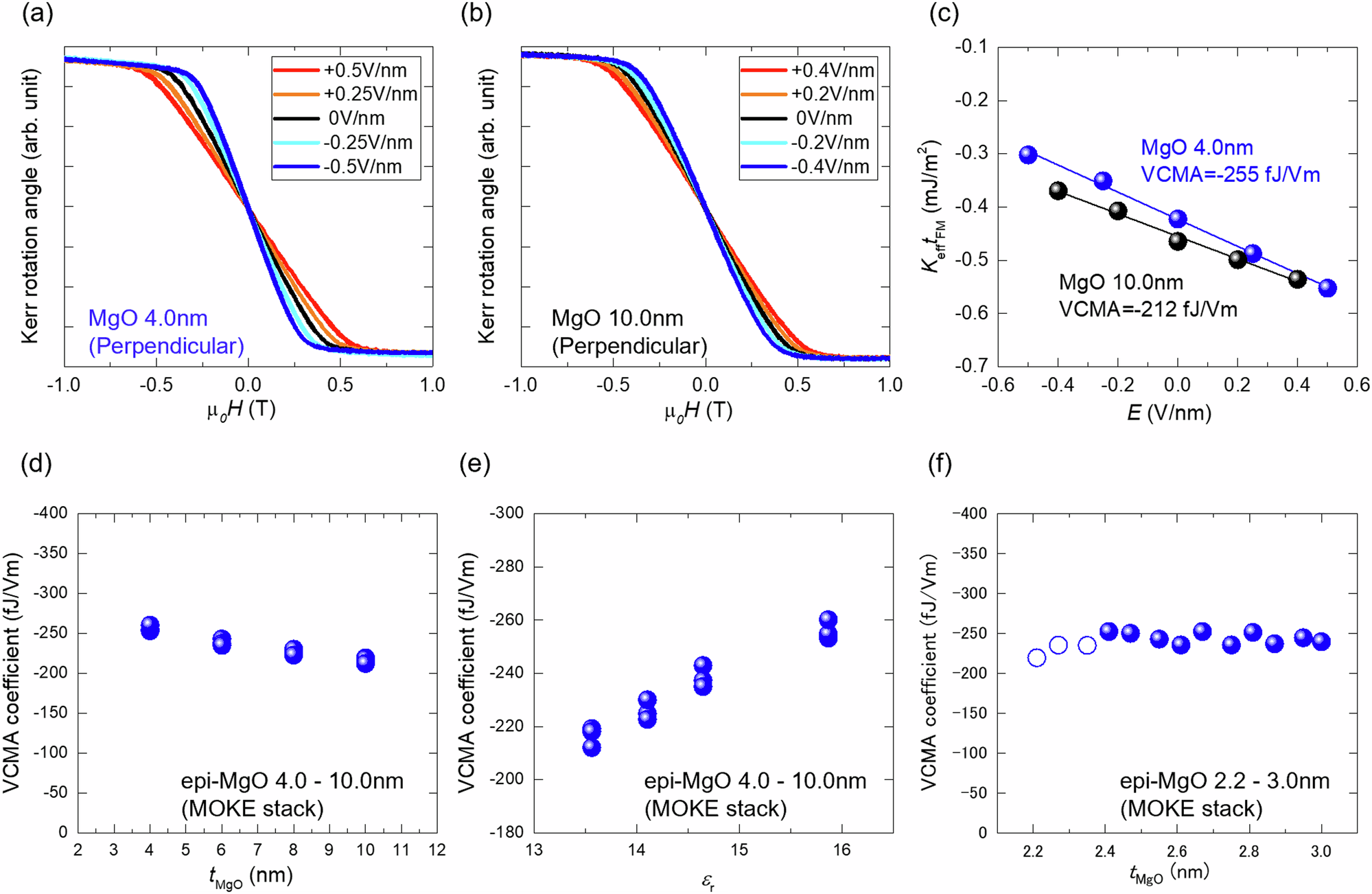
Fig. 4: VCMA effect of epitaxial MgO-MTJ with thick MgO tunnel barrier.
From: Dielectric constant of MgO tunnel barrier with epitaxial strain

a, b Perpendicular magnetization curves under an electric field for devices with tMgO = 4.0 and 10.0 nm measured by MOKE. c Electric field dependence of KefftFM for devices with tMgO = 4.0 and 10.0 nm. d, e tMgO and εr dependence of the VCMA coefficient for devices with 4.0 ≤ tMgO ≤ 10.0 nm. f tMgO dependence of the VCMA coefficient for devices with 2.2 ≤ tMgO ≤ 3.0 nm.