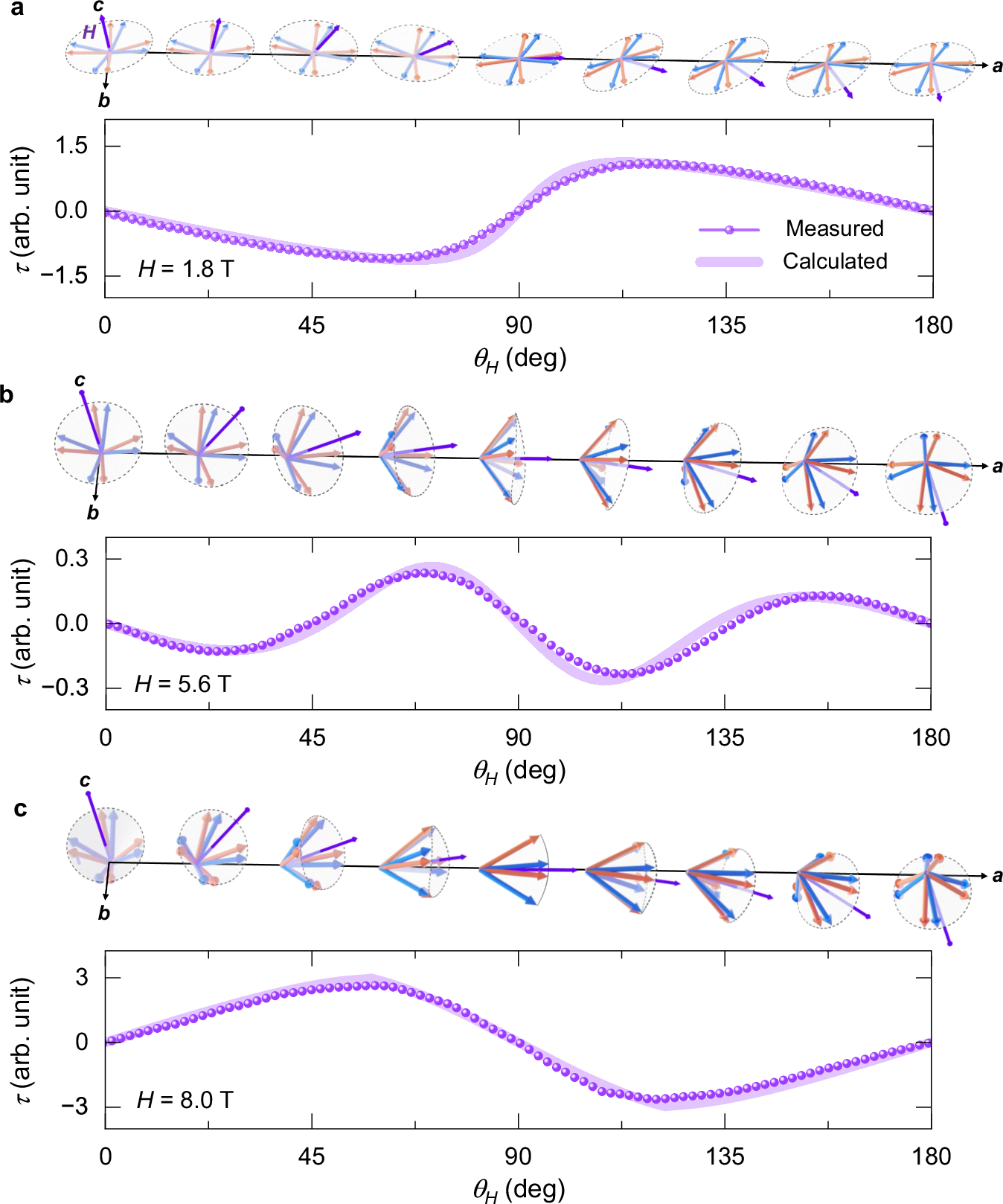
Fig. 5: Measured and calculated angle dependence of magnetic torques at T = 2 K.

a Measured (Solid dots) and calculated (Light solid curve) angular-dependent torque (τ) in the presence of rotating H = 1.8 T in the ac plane, starting from the c axis (θH = 0°). Above the graph, the angular evolution of spin textures during the rotation of H is depicted in 22.5° intervals. b, c Measured and calculated angular dependent τ and corresponding net-moment orientations in layers at H = 5.6 and 8.0 T, respectively.