Abstract
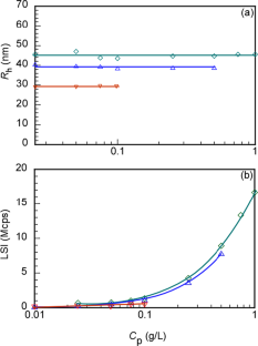
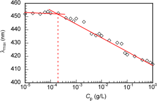
Polyion complex (PIC) micelles were fabricated by directly mixing aqueous solutions of oppositely charged diblock copolymers, poly(2-(methacryloyloxy)ethylphosphorylcholine)-block-poly(vinylbenzyl trimethylammonium chloride) (PMPC-b-PVBTAC; P91V100) and PMPC-block-poly(sodium p-styrenesulfonate) (PMPC-b-PNaSS; P91N100). Cationic and anionic diblock copolymers were synthesized via controlled/living radical polymerization using the poly(2-(methacryloyloxy)ethyl phosphorylcholine) (PMPC) macrochain transfer agent. The subscript number represents the degree of polymerization (DP) of each block. A pair of oppositely charged diblock copolymers was mixed in an aqueous medium to prepare the PIC micelle using electrostatic, hydrophobic, and π–π interactions. The PIC micelles attained the maximum size and aggregation number when the charges of the cationic and anionic blocks were neutralized. The spherical core-shell micelle structure of the PIC micelle was confirmed. Generally, upon the addition of salt to the PIC micelle aqueous solution, the micelles dissociated because of the screening effect. However, the P91V100/P91N100 PIC micelle was stable against NaCl because the PVBTAC/PNaSS core of the PIC micelle was formed by electrostatic, hydrophobic, and π–π interactions. The P91V100/P91N100 PIC micelle can encapsulate charged and hydrophobic guest molecules.
This is a preview of subscription content, access via your institution
Access options
Subscribe to this journal
Receive 12 print issues and online access
$259.00 per year
only $21.58 per issue
Buy this article
- Purchase on SpringerLink
- Instant access to the full article PDF.
USD 39.95
Prices may be subject to local taxes which are calculated during checkout











Similar content being viewed by others
References
Glagoleva AA, Larin DE, Vasilevskaya VV. Unusual structures of interpolyelectrolyte complexes: vesicles and perforated vesicles. Polymers. 2020;12:871–94.
Ohno S, Ishihara K, Yusa S. Formation of polyion complex (PIC) micelles and vesicles with anionic pH-responsive unimer micelles and cationic diblock copolymers in water. Langmuir. 2016;32:3945–53.
Yusa S, Yokoyama Y, Morishima Y. Synthesis of oppositely charged block copolymers of polyethylene glycol via reversible addition-fragmentation chain transfer radical polymerization and characterization of their polyion complex micelles in water. Macromolecules. 2009;42:376–83.
Harada A, Kataoka K. Formation of polyion complex micelles in an aqueous milieu from a pair of oppositely-charged block copolymers with poly(ethylene glycol) segments. Macromolecules. 1995;28:5294–9.
Yu Q, Ding Y, Cao H, Lu X, Cai Y. Use of polyion complexation for polymerization-induced self-assembly in water under visible light irradiation at 25 °C. ACS Macro Lett. 2015;4:1293–6.
Takahashi R, Sato T, Terao K, Yusa S. Reversible vesicle-spherical micelle transition in a polyion complex micellar system induced by changing the mixing ratio of copolymer components. Macromolecules. 2016;49:3091–9.
Takahashi R, Sato T, Terao K, Yusa S. Intermolecular interactions and self-assembly in aqueous solution of a mixture of anionic-neutral and cationic-neutral block copolymers. Macromolecules. 2015;48:7222–9.
Nguyen VTA, De Pauw-Gillet MC, Sandre O, Gauthier M. Biocompatible polyion complex micelles synthesized from arborescent polymers. Langmuir. 2016;32:13482–92.
Wu H, Ting JM, Weiss TM, Tirrell MV. Interparticle interactions in dilute solutions of polyelectrolyte complex micelles. ACS Macro Lett. 2019;8:819–25.
De Santis S, Diana Ladogana RD, Diociaiuti M, Masci G. Pegylated and thermosensitive polyion complex micelles by self-assembly of two oppositely and permanently charged diblock copolymers. Macromolecules. 2010;43:1992–2001.
Nakai K, Nishiuchi M, Inoue M, Ishihara K, Sanada Y, Sakurai K, et al. Preparation and characterization of polyion complex micelles with phosphobetaine shells. Langmuir. 2013;29:9651–61.
Nakai K, Ishihara K, Kappl M, Fujii S, Nakamura Y, Yusa S. Polyion complex vesicles with solvated phosphobetaine shells formed from oppositely charged diblock copolymers. Polymers. 2017;9:49.
Dobrynin AV, Colby RH, Rubinstein M. Scaling theory of polyelectrolyte solutions. Macromolecules. 1995;28:1859–71.
Insua I, Wilkinson A, Fernandez-Trillo F. Polyion complex (PIC) particles: Preparation and biomedical applications. Eur Polym J. 2016;81:198–215.
Chen H, Xiao L, Anraku Y, Mi P, Liu X, Cabral H, et al. Polyion complex vesicles for photoinduced intracellular delivery of amphiphilic photosensitizer. J Am Chem Soc. 2014;136:157–63.
Jang WD, Nakagishi Y, Nishiyama N, Kawauchi S, Morimoto Y, Kikuchi M, et al. Polyion complex micelles for photodynamic therapy: Incorporation of dendritic photosensitizer excitable at long wavelength relevant to improved tissue-penetrating property. J Control Release. 2006;113:73–9.
Harada A, Kataoka K. Pronounced activity of enzymes through the incorporation into the core of polyion complex micelles made from charged block copolymers. J Control Release. 2001;72:85–91.
Kim HJ, Kim A, Miyata K, Kataoka K. Recent progress in development of siRNA delivery vehicles for cancer therapy. Adv Drug Deliv Rev. 2016;104:61–77.
Li J, Chen Q, Zha Z, Li H, Toh K, Dirisala A, et al. Ternary polyplex micelles with PEG shells and intermediate barrier to complexed DNA cores for efficient systemic gene delivery. J Control Release. 2015;209:77–87.
Hayashi K, Chaya H, Fukushima S, Watanabe S, Takemoto H, Osada K, et al. Influence of RNA strand rigidity on polyion complex formation with block catiomers. Macromol Rapid Commun. 2016;37:486–93.
Wittenberg BA, Wittenberg JB, Caldwell PR. Role of myoglobin in the oxygen supply to red skeletal muscle. J Biol Chem. 1975;250:9038–43.
Kishimura A, Koide A, Osada K, Yamasaki Y, Kataoka K. Encapsulation of myoglobin in PEGylated polyion complex vesicles made from a pair of oppositely charged block ionomers: a physiologically available oxygen carrier. Angew Chem Int Ed Engl. 2007;119:6197–200.
Luo Y, Yao X, Yuan J, Ding T, Gao Q. Preparation and drug controlled-release of polyion complex micelles as drug delivery systems. Colloids Surf B Biointerfaces. 2009;68:218–24.
Jawanda M, Lai BFL, Kizhakkedathu JN, Ishihara K, Narain R. Linear and hyperbranched phosphorylcholine based homopolymers for blood biocompatibility. Polym Chem. 2013;4:3140–6.
Haladjova E, Mountrichas G, Pispas S, Rangelov S. Poly(vinyl benzyl trimethylammonium chloride) homo and block copolymers complexation with DNA. J Phys Chem B. 2016;120:2586–95.
Kim D, Matsuoka H, Saruwatari Y. Formation of sulfobetaine-containing entirely ionic PIC (polyion complex) micelles and their temperature responsivity. Langmuir. 2020;36:10130–7.
Kim D, Matsuoka H, Yusa S, Saruwatari Y. Collapse behavior of polyion complex (PIC) micelles upon salt addition and reforming behavior by dialysis and its temperature responsivity. Langmuir. 2020;36:15485–92.
Mitsukami Y, Donovan MS, Lowe AB, McCormick CL. Water-soluble polymers. 81. Direct synthesis of hydrophilic styrenic-based homopolymers and block copolymers in aqueous solution via RAFT. Macromolecules. 2001;34:2248–56.
Goto F, Ishihara K, Iwasaki Y, Katayama K, Enomoto R, Yusa S. Thermo-responsive behavior of hybrid core cross-linked polymer micelles with biocompatible shells. Polymer. 2011;52:2810–8.
Chen Z, FitzGerald PA, Kobayashi Y, Ueno K, Watanabe M, Warr GG, et al. Micelle structure of novel diblock polyethers in water and two protic ionic liquids (EAN and PAN). Macromolecules. 2015;48:1843–51.
Burchard W, Schmidt M, Stockmayer WH. Information on polydispersity and branching from combined quasi-elastic and integrated scattering. Macromolecules. 1980;13:1265–72.
Burchard W. Static and dynamic light scattering from branched polymers and biopolymers. Adv Polym Sci. 2007;48:1–124.
Konishi T, Yoshizaki T, Yamakawa H. On the “universal constants” ρ and Φ of flexible polymers. Macromolecules. 2002;24:5614–22.
Akcasu AZ, Han CC. Molecular weight and temperature dependence of polymer dimensions in solution. Macromolecules. 1979;12:276–80.
Quintana JR, Jáñez MD, Villacampa M, Katime I. Diblock copolymer micelles in solvent binary mixtures. 1. Selective Solvent/precipitant Macromolecules. 1995;28:4139–43.
Villacampa M, de Apodaca ED, Quintana JR, Katime I. Diblock copolymer micelles in solvent binary mixtures. 2. Selective solvent/good solvent Macromolecules. 2002;28:4144–9.
Nakai K, Ishihara K, Yusa S. Preparation of giant polyion complex vesicles (G-PICsomes) with polyphosphobetaine shells composed of oppositely charged diblock copolymers. Chem Lett. 2017;46:824–7.
Ikemi M, Odagiri N, Tanaka S, Shinohara I, Chiba A. Hydrophobic domain structure of water-soluble block copolymer. 2. Transition phenomena of block copolymer micelles. Macromolecules. 1982;15:281–6.
Sharker KK, Ohara Y, Shigeta Y, Ozoe S, Yusa S. Upper critical solution temperature (UCST) behavior of polystyrene-based polyampholytes in aqueous solution. Polymers. 2019;11:265.
Nakahata R, Yusa SI. Preparation of water-soluble polyion complex (PIC) micelles covered with amphoteric random copolymer shells with pendant sulfonate and quaternary amino groups. Polymers. 2018;10:205.
Acknowledgements
This research was partially supported by KAKENHI grants (21H02005, 21K19931, 21H05027, 21H05535) from the Japan Society for the Promotion of Science (JSPS), JSPS Bilateral Joint Research Projects (JPJSBP120203509), the Cooperative Research Program of “Network Joint Research Center for Materials and Devices (20214044),” and MEXT Promotion of Distinctive Joint Research Center Program (JPMXP 0621467946). The authors would like to thank Enago for English language editing.
Author information
Authors and Affiliations
Corresponding author
Ethics declarations
Conflict of interest
The authors declare no competing interests.
Additional information
Publisher’s note Springer Nature remains neutral with regard to jurisdictional claims in published maps and institutional affiliations.
Supplementary information
Rights and permissions
About this article
Cite this article
Pham, T.T., Pham, T.D. & Yusa, Si. Polyion complex (PIC) micelles formed from oppositely charged styrene-based polyelectrolytes via electrostatic, hydrophobic, and π–π interactions. Polym J 54, 1091–1101 (2022). https://doi.org/10.1038/s41428-022-00659-3
Received:
Revised:
Accepted:
Published:
Version of record:
Issue date:
DOI: https://doi.org/10.1038/s41428-022-00659-3


