Fig. 2
From: Stretchable π-conjugated polymer electrets for mechanoelectric generators

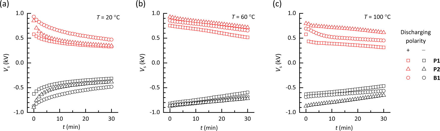
Surface potential (Vs) decay (at 20 °C) of π-electret films (P1, P2, and B1) poled at different temperatures. a 20 °C, b 60 °C, and c 100 °C. Poling time: 15 min (T = 20 and 60 °C); 5 min (100 °C)