Abstract
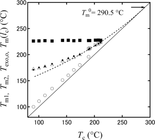
The dependence of lamellar thickness on the melting temperature and crystallization temperature and the crystallization temperature dependence of the growth rate for poly(trimethylene terephthalate) (PTT) were examined with small-angle X-ray scattering (SAXS), wide angle X-ray diffraction (WAXD), differential scanning calorimetry (DSC) and optical microscopy. The melting temperature of the isothermally crystallized PTT lamellar stack structure was determined by X-ray measurements. The equilibrium melting temperature of PTT was determined to be 290.5 °C from the relationship between the melting temperature and the lamellar thickness. The relationships of supercooling to the lamellar thickness and the growth rate were analyzed. The excess thickness δl = 7.1 Å was obtained from the data provided above for the crystallization temperature, Tc = 173.7 °C. The temperature dependence of the lamellar thickness below Tc = 173.7 °C suggested crystallization through a mesophase. The temperature dependence of the growth rate was explained by secondary nucleation theory over a wide crystallization temperature range.
This is a preview of subscription content, access via your institution
Access options
Subscribe to this journal
Receive 12 print issues and online access
$259.00 per year
only $21.58 per issue
Buy this article
- Purchase on SpringerLink
- Instant access to the full article PDF.
USD 39.95
Prices may be subject to local taxes which are calculated during checkout










Similar content being viewed by others
References
Rim PB, Runt JP. Melting behavior of crystalline/compatible polymer blends: poly (ε-caprolactone)/poly (styrene-co-acrylonitrile). Macromolecules. 1983;16:762–8.
Bassett DC, Olley RH, Al Raheil IAM. On crystallization phenomena in PEEK. Polymer. 1988;29:1745–54.
Lattimer MP, Hobbs JK, Hill MJ, Barham PJ. On the origin of the multiple endotherms in PEEK. Polymer. 1992;33:3971–3.
Srimoaon P, Dangseeyun N, Supaphol P. Multiple melting behavior in isothermally crystallized poly(trimethylene terephthalate). Eur Polym J. 2004;40:599–608.
Ivanov DA, Bar G, Dosiére M, Koch MHJ. A novel view on crystallization and melting of semirigid chain polymers: The case of poly(trimethylene terephthalate). Macromolecules. 2008;41:9224–33.
Krüger KN, Zachmann HG. Investigation of the melting behavior of poly(aryl ether ketones) by simultaneous measurements of SAXS and WAXS employing synchrotron radiation. Macromolecules. 1993;26:5202–8.
Verma R, Marand H, Hsiao B. Morphological changes during secondary crystallization and subsequent melting in poly(ether ether ketone) as studied by real time small angle X-ray scattering. Macromolecules. 1996;29:7767–75.
Hsiao BS, Verma RK. A novel approach to extract morphological variables in crystalline polymers from time-resolved synchrotron SAXS data. J Synchrotron Radiat. 1998;5:23–9.
Heck B, Hugel T, Iijima M, Sadiku E, Strobl G. Steps in the transition of an entangled polymer melt to the partially crystalline state. N J Phys. 1999;1:1–17.
Melnikov AP, Rosenthal M, Rodygin AI, Doblas D, Anokhin DV, Burghammer M, et al. Re-exploring the double-melting behavior of semirigid-chain polymers with an in-situ combination of synchrotron nano-focus X-ray scattering and nanocalorimetry. Eur Polym J. 2016;81:598–606.
Rosenthal M, Melnikov AP, Burghammer M, Ivanov DA. Reorganization of semicrystalline polymers on heating: Analyzing common misconceptions in the interpretation of calorimetric data. Response on the “Comment on “Re-exploring the double-melting behavior of semirigid-chain polymers with an in-situ combination of synchrotron nanofocus X-ray scattering and nanocalorimetry” by Dimitri A. Ivanov et al. [Euro. Polym. J. 81 (2016) 598–606.]”. Eur Polym J. 2017;94:517–23.
Lauritzen JI Jr, Hoffman JD. Theory of formation of polymer crystals with folded chains in dilute solution. J Res Natl Bur Stand, A Phys Chem. 1960;64:73–102.
Wunderlich B, Czornyj G. A study of equilibrium melting of polyethylene. Macromolecules. 1977;10:906–13.
Rastogi S, Hikosaka M, Kawabata H, Keller A. Role of mobile phases in the crystallization of polyethylene. Part 1. Metastability lateral growth Macromol. 1991;24:6384–91.
Rastogi S, Ungar G. Hexagonal columnar phase in 1, 4-trans-polybutadiene: morphology, chain extension, and isothermal phase reversal. Macromolecules. 1992;25:1445–52.
Keller A, Hikosaka M, Rastogi S, Toda A, Barham PJ, Goldbeck-Wood G. An approach to the formation and growth of new phases with application to polymer crystallization: effect of finite size, metastability, and Ostwald’s rule of stages. J Mater Sci. 1994;29:2579–604.
Tashiro K, Sasaki S, Gose N, Kobayashi M. Microscopically-viewed structural change of polyethylene during isothermal crystallization from the melt I. time-resolved FT-IR spectral measurements. Polym J. 1998;30:485–91.
Sirota EB, Herhold AB. Transient phase-induced nucleation. Science. 1999;283:529–32.
Strobl G. From the melt via mesomorphic and granular crystalline layers to lamellar crystallites: A major route followed in polymer crystallization? Eur Phys J E. 2000;3:165–83.
Konishi T, Nishida K, Matsuba G, Kanaya T. Mesomorphic phase of poly(butylene-2, 6-naphthalate). Macromolecules. 2008;41:3157–61.
Konishi T, Miyamoto Y. Crystallization of poly(butylene terephthalate) from the glass. Macromolecules. 2010;43:375–83.
Konishi T, Sakatsuji W, Fukao K, Miyamoto Y. Polymer crystallization mechanism through a mesomorphic state. Phys Rev B. 2011;84:132102.
Cavallo D, Mileva D, Portale G, Zhang L, Balzano L, Alfonso GC, et al. Mesophase-mediated crystallization of poly(butylene-2, 6-naphthalate): an example of Ostwald’s rule of stages. ACS Macro Lett. 2012;1:1051–5.
Ding Q, Soccio M, Lotti N, Cavallo D, Androsch R. Melt Crystallization of Poly (butylene 2, 6-naphthalate). Chin J Polym Sci. 2020;38:311–22.
Konishi T, Sakatsuji W, Fukao K, Miyamoto Y. Temperature dependence of lamellar thickness in isothermally crystallized poly(butylene terephthalate). Macromolecules. 2016;49:2272–80.
Konishi T, Sakatsuji W, Miyamoto Y. crystallization through mesophase in poly(butylene terephthalate): approach from dependence of growth rate on lamellar thickness. Polymer. 2017;119:160–6.
Yamamoto T. Molecular Dynamics in fiber formation of polyethylene and large deformation of the fiber. Polymer. 2013;54:3086–97.
Huang JM, Chang FC. Crystallization kinetics of poly(trimethylene terephthalate). J Polym Sci B Polym Phys. 2000;38:934–41.
Wang B, Li CY, Hanzlicek J, Cheng SZD, Geil PH, Grebowicz J, et al. Poly(trimethylene teraphthalate) Crystal structure and morphology in different length scales. Polymer. 2001;42:7171–80.
Hong PD, Chung WT, Hsu CF. Crystallization kinetics and morphology of poly(trimethylene terephthalate). Polymer. 2002;43:3335–43.
Konishi T, Okamoto D, Tadokoro D, Kawahara Y, Fukao K, Miyamoto Y. Origin of SAXS Intensity in the low-q region during the early stage of polymer crystallization from both the melt and glassy state. Phys Rev Mater. 2018;2:105602.
Chuang WT, Su WB, Jeng US, Hong PD, Su CJ, Su CH, et al. Formation of mesomorphic domains and subsequent structural evolution during cold crystallization of poly(trimethylene terephthalate). Macromolecules. 2011;44:1140–8.
Soccio M, Nogales A, Ezquerra TA, Lotti N, Munari A. Effect of copolymerization in the dynamics of poly(trimethylene terephthalate). Macromolecules. 2012;45:180–8.
Konishi T, Okamoto D, Tadokoro D, Kawahara Y, Fukao K, Miyamoto Y. Kinetics of polymer crystallization with aggregating small crystallites. Phys Rev Lett. 2022;128:107801.
Yang J, Sidoti G, Liu J, Geil PH, Li CY, Cheng SZD. Morphology and crystal structure of CTFMP and bulk polymerized poly(trimethylene terephthalate). Polymer. 2001;42:7181–95.
Ho RM, Ke KZ, Chen M. Crystal structure and banded spherulite of poly(trimethylene terephthalate). Macromolecules. 2000;33:7529–37.
Marand H, Xu J, Srinivas S. Determination of the equilibrium melting temperature of polymer crystals: linear and nonlinear hoffman-weeks extrapolations. Macromolecules. 1988;31:8219–29.
Miyamoto Y, Fukao K, Miyaji H. Small-angle x-ray scattering of isotactic polystyrene. Colloid Polym Sci. 1995;273:66–75.
Pyda M, Boller A, Grebowicz J, Chuah H, Lebedev BV, Wunderlich B. Heat capacity of poly(trimethylene terephthalate). J Polym Sci B Polym Phys. 1998;36:2499–511.
Poulin-Dandurand S, Pérez S, Revol JF, Brisse F. The crystal structure of poly(trimethylene terephthalate) by x-ray and electron diffraction. Polymer. 1979;20:419–26.
Jones DH, Latham AJ, Keller A, Girolamo M. Fold Length of Single Crystals of Polystyrene: A conflict with crystallization theories at high supercoolings. J Polym Sci Polym Phys. 1973;11:1759–67.
Rault J. Process of crystallization of polymers at low supercooling. J Phys Lett. 1978;39:411–3.
Rault J. Crystallization of polymers. J Macromol Sci Phys. 1978;15:567–93.
Tanzawa Y, Miyaji H, Miyamoto Y, Kiho H. Polymer crystallization at high supercoolings: 2. Molecular-weight dependence of lamellar thickness in isotactic polystyrene. Polymer. 1988;29:904–8.
Takayanagi M, Yamashita T. Growth rate and structure of spherulite in fractionated poly(ethylene adipate). J Polym Sci. 1956;22:552–5.
Strobl GR. The physics of polymers. 3rd ed. Berlin, Heidelberg: Springer; 2007.
Wu J, Schultz JM, Samon JM, Pangelinan AB, Chuah HH. In situ study of structure development in poly(trimethylene terephthalate) fibers during stretching by simultaneous synchrotron small- and wide-angle x-ray scattering. Polymer. 2001;42:7141–51.
Acknowledgements
This work was partially supported by JSPS KAKENHI Grant No. JP 22K03548 (TK). The X-ray measurements were performed at BL-40B2 and BL-40XU of SPring-8 with the approval of the Japan Synchrotron Radiation Research Institute (JASRI) (Proposal Nos. 2014B1509, 2015B1192, 2017A1679, 2017B1119, 2017B1719, 2019B1794, 2020A1113, 2020A1078, and 2021A1413). The authors wish to acknowledge Dr Hideki Miyaji and Dr Teppei Yoshida of Kyoto University and Dr Ken Taguchi of Hiroshima Univ. for discussing the experimental results.
Author information
Authors and Affiliations
Corresponding author
Ethics declarations
Conflict of interest
The authors declare no competing interests.
Additional information
Publisher’s note Springer Nature remains neutral with regard to jurisdictional claims in published maps and institutional affiliations.
Rights and permissions
Springer Nature or its licensor (e.g. a society or other partner) holds exclusive rights to this article under a publishing agreement with the author(s) or other rightsholder(s); author self-archiving of the accepted manuscript version of this article is solely governed by the terms of such publishing agreement and applicable law.
About this article
Cite this article
Tadokoro, D., Konishi, T., Fukao, K. et al. Lamellar crystallization of poly(trimethylene terephthalate). Polym J 55, 775–783 (2023). https://doi.org/10.1038/s41428-023-00777-6
Received:
Revised:
Accepted:
Published:
Version of record:
Issue date:
DOI: https://doi.org/10.1038/s41428-023-00777-6


