Abstract
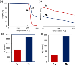
Heptaisobutyl-norbornenylethyl-substituted cage octasilsesquioxane (POSS) (1a) and heptaphenyl-norbornenylethyl-substituted POSS (1b) were subjected to ring-opening metathesis polymerizations (ROMP) at room temperature with the Grubbs 2nd generation catalyst. The metathesis polymerizations of 1a and 1b were performed at room temperature for 3 h with initial monomer molar concentrations of [1a, 1b] = 10 mM, and the number average molecular weights (Mn) of 2a and 2b were 82,000 g/mol and 87,000 g/mol, respectively. Dynamic light scattering (DLS) and static light scattering (SLS) measurements showed that the Rg/Rh value for 2a was 4.91, suggesting the formation of polydisperse rod-shaped particles. Chloroform solutions of 2a and 2b were cast onto glass substrates and dried at room temperature to obtain optically transparent free-standing films. X-ray diffraction (XRD) analyses of the casted films revealed their amorphous natures. Thermogravimetric analyses (TGA) of 2a and 2b under N2 atmospheres showed 5 wt% losses (Td5) at 416 °C and 451 °C, respectively. The POSS-pendant polynorbornenenes connected with short spacers exhibited showed high optical transparencies owing to the prevention of POSS crystallization and the excellent thermal stability.
This is a preview of subscription content, access via your institution
Access options
Subscribe to this journal
Receive 12 print issues and online access
$259.00 per year
only $21.58 per issue
Buy this article
- Purchase on SpringerLink
- Instant access to the full article PDF.
USD 39.95
Prices may be subject to local taxes which are calculated during checkout







Similar content being viewed by others
References
Laine RM. Nanobuilding blocks base on the [OSiO1.5]x (x = 6, 8, 10) octasilsesquioxanews. J Mater Chem. 2005;15:3725–44.
Cordes DB, Lickiss PD, Rataboul F. Recent development in the chemistry of cubic polyhedral oligosilisesquioxanes. Chem Rev. 2010;110:2081–173.
Li G, Wang L, Ni H, Pittman CU Jr. Polyhedral oligomeric silsesquioxane (POSS) polymers and copolymers: a review. J Inorg Org Polym. 2001;11:123–54.
Zheng L, Hong S, Cardoen G, Burgaz E, Gido S, Coughlin EB. Polymer Nanocomposites through Controlled Self-Assembly of Cubic Silsesquioxane Scaffolds. Macromolecules. 2004;37:8606–11.
Seurer B, Coughlin EB. Ethylene-propylene-silsesquixane thermoplastic elastomers. Macromol Chem Phys. 2008;209:1198–209.
Leu CM, Chang YT, Wei KH. Synthesis and Dielectric Properties of Polyimide-Tethered PolyhedralOligomeric Silsesquioxane (POSS) Nanocomposites via POSS-diamine. Macromolecules. 2003;36:9122–7.
Sakurai K, Kashiwagi T, Takahashi T. Crystal structure of polynorbornene. J Appl Polym Sci. 1993;47:937–40.
Mather PT, Jeon HG, Romo-Uribe A, Haddad TS, Lichtenhan JD. Mechanic relaxiation and microstructure of poly(norbonyl-POSS) copolymers. Macromolecules. 1999;32:1194–203.
Zhen L, Farris RJ, Coughlin EB. Synthesis of polyethylene hybrid copolymers containing polyhedral oligomeric silsesquioxane prepared with ring-opening metathesis copolymerization. J Polym Sci Part A Polym Chem. 2001;39:2920–8.
Chae CG, Yu YG, Seo HB, Kim MJ, Grubbs RH. Experimental formulation of photonic crystal properties for hierarchically self-assembled POSS-Bottlebrush block copolymers. Macromolecules. 2018;51:3458–66.
Zhao B, Hong G, Li L, Zheng S. Nanocomposites of polyethylene with polyhedral oligomeric silsesquioxane: from thermoplastic to vitrimers through silyl ether metathesis. Mater Today Chem. 2021;24:1005759.
Finkelmann H, Happ M, Portugal M, Ringsdorf H. Liquid crystalline polymers with biphenyl-moieties as mesogenic group. Makromol Chem. 1978;179:2541–4.
Zheng XH, Zhao JF, Zhao TP, Yang T, Ren XK, Yang S, Chen EQ. Homopolymer and random copolymer of polyhedral oligomeric silsesquioxane (POSS)-based side-chain polynorbornenes: Flexible spacer effect and composition dependence. Macromolecules. 2018;51:4484–93.
Chae CG, Yu YG, Seo HB, Kim MJ, Kishore MYLN, Lee JS. Molecular and kinetic design for the expanded control of molecular weights in the ring-opening metathesis polymerization of norbornene-substituted polyhedral oligomeric silsesquioxnaes. Polym Chem. 2018;9:5179–89.
Igarashi A, Ueda Y, Katoh R, Imoto H, Naka K. Highly selective mono-functionalization of open-cage silsesquioxane toward film-formable homopolymer. J Polym Sci. 2021;59:131–8.
Imoto H, Nakao Y, Nishizawa N, Fujii S, Nakamura Y, Naka K. Tripodal polyhedral oligomeric silsesquioxanes as novel class of three-dimensional emulsifiers. Polym J. 2015;47:609–15.
Igarashi A, Imoto H, Naka K. Polymethacrylates containing cage-silsesquioxanes in the side chains: effects of cage and linker structures on film properties. Polym Chem. 2022;13:1228–35.
Sato Y, Imoto H, Naka K. Soluble and film-formable homopolymer tethering side-opened cage silsesquioxane pendants. J Polym Sci. 2020;58:1456–62.
Nakano T, Okamoto K, Imoto H, Naka K. Double-cyclopolymerization using trifunctional incompletely-condensed cage silsesquioxane with methacryloyl groups. Polym J. 2023;55:193–201.
Lichtenhan JD, Otonari YA, Carr MJ. Linear hybrid polymer building blocks: Methacrylate-functionalized polyhedral oligomeric silsesquioxane monomers and polymers. Macromolecules. 1995;28:8435–7.
Seurer B, Coughlin EB. Ethylene-propylene-silsesquioxane thermoplastic elastomers. Macromol Chem Phys. 2008;209:1198–209.
Huber K, Bantle S, Lutz P, Burchard W. Hydrodynamic and thermodynamic behavior of short-chain polystyrene in toluene and cyclohexane at 34.5 °C. Macromolecules. 1985;18:1461–7.
Akcasu AZ, Han CC. Molecular weight and temperature dependence of polymer dimensions in solution. Macromolecules. 1979;12:276–80.
Konishi T, Yoshizaki T, Yamakawa H. On the “universal constants” ρ and Φ. of flexible polymers. Macromolecules. 1991;24:5614–22.
Hamidi N, Ganewatta MS. Influence of the rosin pendant groups on the solution properties of a high molecular weight hydrogenated polynorbornene. Polymer. 2021;232:124167.
Acknowledgements
This work was supported by Grants-in-Aid for Scientific Research (No. 19H02764 and 23K17944) from the Ministry of Education, Culture, Sports, Science, and Technology, Government of Japan.
Author information
Authors and Affiliations
Corresponding author
Ethics declarations
Conflict of interest
The authors declare no competing interests.
Additional information
Publisher’s note Springer Nature remains neutral with regard to jurisdictional claims in published maps and institutional affiliations.
Supplementary information
Rights and permissions
Springer Nature or its licensor (e.g. a society or other partner) holds exclusive rights to this article under a publishing agreement with the author(s) or other rightsholder(s); author self-archiving of the accepted manuscript version of this article is solely governed by the terms of such publishing agreement and applicable law.
About this article
Cite this article
Tomioka, Y., Tanaka, R., Pham, T.T. et al. Cage octasilsesquioxane-pendant polynorbornenes connected with short spacers exhibiting optical transparency. Polym J 56, 653–660 (2024). https://doi.org/10.1038/s41428-024-00903-y
Received:
Revised:
Accepted:
Published:
Version of record:
Issue date:
DOI: https://doi.org/10.1038/s41428-024-00903-y


