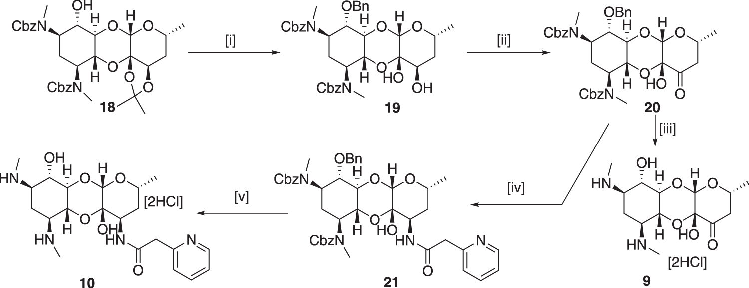
Scheme 2
From: Synthesis, antibacterial action, and ribosome inhibition of deoxyspectinomycins

Synthesis of 2-deoxyspectinomycin 9 and 2-deoxyspectinamide 10. Reagents and conditions: [i] (a) NaH, BnBr, THF, (b) 1 M HCl in MeOH, 65% over two steps; [ii] IBX, DMSO; 86% [iii] Pd/C-H2, MeOH, 80%; [iv] (a) NH4NO3/CH3COOH, 2-picoline-borane complex, MeOH, (b) 2-Pyridylacetic acid hydrochloride, HBTU, DMF, 34% over 2 steps; [v] Pd/C-H2, 1 M HCl in MeOH, 79%