Abstract
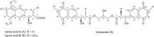
Two new naphthohydroquinone derivatives designated iseoic acids A (1) and B (2) and a new symmetrical glycerol bisester of naphthoquinonepropanoic acid designated bisiseoate (3) were isolated from the culture extract of a marine-derived actinomycete Streptomyces sp. DC4-5. The structures of 1–3 were determined by analyzing one- and two-dimensional NMR data and MS analytical data. The absolute configurations were determined by NOESY analysis and the phenylglycine methyl ester (PGME) method for 1 and by considering the structural similarity and biosynthesis for 2 and 3. Compound 3 exhibited modest cytotoxicity against P388 murine leukemia cells with an IC50 value of 19 μM.
This is a preview of subscription content, access via your institution
Access options
Subscribe to this journal
Receive 12 print issues and online access
$259.00 per year
only $21.58 per issue
Buy this article
- Purchase on SpringerLink
- Instant access to the full article PDF.
USD 39.95
Prices may be subject to local taxes which are calculated during checkout





References
Bérdy J. Bioactive microbial metabolites. J Antibiot. 2005;58:1–26.
Ameen F, Alnadhari S, Al-Homaidan AA. Marine microorganisms as an untapped source of bioactive compounds. Saudi J Biol Sci. 2021;28:224–31.
Demain AL. Importance of microbial natural products and the need to revitalize their discovery. J Ind Microbiol Biotechnol. 2014;41:185–201.
Bota DA, et al. Marizomib alone or in combination with bevacizumab in patients with recurrent glioblastoma: Phase I/II clinical trial data. Neurooncol Adv. 2021;3:vdab142.
Lam KS. Discovery of novel metabolites from marine actinomycetes. Curr Opin Microbiol. 2006;9:245–51.
Schinke C, Martins T, Queiroz SCN, Melo IS, Reyes FGR. Antibacterial compounds from marine bacteria, 2010−2015. J Nat Prod 2017;80:1215–28.
Mehbub MF, Tanner JE, Barnett SJ, Franco CM, Zhang W. The role of sponge-bacteria interactions: the sponge Aplysilla rosea challenged by its associated bacterium Streptomyces ACT-52A in a controlled aquarium system. Appl Microbiol Biotechnol. 2016;100:10609–26.
Fu P, et al. Antibiotic metabolites from the coral-associated actinomycete Streptomyces sp. OUCMDZ-1703. Chin J Chem. 2013;31:100–4.
Nong XH, Zhang XY, Xu XY, Wang J, Qi SH. Nahuoic acids B-E, polyhydroxy polyketides from the marine-derived Streptomyces sp. SCSGAA 0027. J Nat Prod. 2015;79:141–8.
Nong XH, Wei XY, Qi SH. Pteridic acids C–G spirocyclic polyketides from the marine-derived Streptomyces sp. SCSGAA 0027. J Antibiot. 2017;70:1047–52.
Sharma AR, Harunari E, Oku N, Matsuura N, Trianto A, Igarashi Y. Two antibacterial and PPARα/γ-agonistic unsaturated keto fatty acids from a coral-associated actinomycete of the genus Micrococcus. Beilstein J Org Chem. 2020;16:297–304.
Zhang ZW, Zhou T, Harunari E, Oku N, Igarashi Y. Iseolides A–C, antifungal macrolides from a coral-derived actinomycete of the genus Streptomyces. J Antibiot. 2020;73:534–41.
Yabuuchi T, Kusumi T. Phenylglycine methyl ester, a useful tool for absolute configuration determination of various chiral carboxylic acids. J Org Chem. 2000;65:397–404.
Zhang ZW, et al. Kumemicinones A−G, cytotoxic angucyclinones from a deep sea-derived actinomycete of the genus Actinomadura. J Nat Prod. 2022;85:1098–108.
Bianchi M, et al. Axenomycins, new anthelmintic, antiprotozoal and antifungal antibiotics, produced by streptomyces lisandri nov. sp. Arch Microbiol. 1974;98:289–99.
Pérez M, et al. PM100117 and PM100118, new antitumor macrolides produced by a marine Streptomyces caniferus GUA-06-05- 006A. J Antibiot. 2016;69:388–94.
Alferova VA, et al. Astolides A and B, antifungal and cytotoxic naphthoquinone-derived polyol macrolactones from Streptomyces hygroscopicus. Tetrahedron 2018;74:7442–9.
Takahashi I, Nishiie Y, Uosaki Y, Ochiai K. New substance GT35 and its production. Jpn. Kokai Tokkyo Koho. 1995: JPH09100290A.
Takeuchi T, et al. ATP depletion assay led to the isolation of new 36-membered polyol macrolides deplelides A and B from Streptomyces sp. MM581-NF15. Org Lett. 2017;19:4207–10.
Pérez-Victoria I, et al. Structure elucidation and biosynthetic gene cluster analysis of caniferolides A-D, new bioactive glycosylated 36-membered polyol macrolides from the marine-derived Streptomyces caniferus CA-271066. Org Biomol Chem. 2019;17:2954–71.
Acknowledgements
P388 cells were obtained from JCRB Cell Bank under an accession code JCRB0017 (Lot. 06252002). We also thank Drs. Md. Rokon Ul Karim and Tao Zhou at Toyama Prefectural University for cytotoxicity assay and structure analysis.
Author information
Authors and Affiliations
Corresponding author
Ethics declarations
Conflict of interest
The authors declare no competing interests.
Additional information
Publisher’s note Springer Nature remains neutral with regard to jurisdictional claims in published maps and institutional affiliations.
Supplementary information
41429_2023_644_MOESM1_ESM.docx
Supplementary Information for Iseoic acids and bisiseoate: three new naphthalene/naphthoquinone-class metabolites from a coral-derived actinomycete of the genus <i>Streptomyces</i>
Rights and permissions
About this article
Cite this article
Zhang, Z., Harunari, E. & Igarashi, Y. Iseoic acids and bisiseoate: three new naphthohydroquinone/naphthoquinone-class metabolites from a coral-derived Streptomyces. J Antibiot 76, 618–622 (2023). https://doi.org/10.1038/s41429-023-00644-9
Received:
Revised:
Accepted:
Published:
Version of record:
Issue date:
DOI: https://doi.org/10.1038/s41429-023-00644-9