Abstract
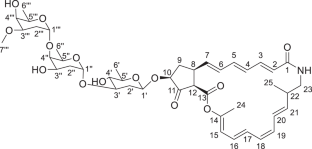
A new antibiotic named haneummycin (1) was isolated from a culture broth of marine-derived Streptomyces sp. KM77-8 by solvent extraction and HPLC using a C4 column. The structure of 1 was elucidated including relative stereochemistry as a new 22-membered macrolide lactam associated with a cyclopentanone and three sugars by various spectroscopic analyses, such as MS and NMR. Compound 1 displayed significant antibacterial activities against Gram-positive bacteria including vancomycin-resistant Enterococcus faecium (VRE) and methicillin-resistant Staphylococcus aureus (MRSA) with both MIC values of 8.0 µg ml−1.
This is a preview of subscription content, access via your institution
Access options
Subscribe to this journal
Receive 12 print issues and online access
$259.00 per year
only $21.58 per issue
Buy this article
- Purchase on SpringerLink
- Instant access to the full article PDF.
USD 39.95
Prices may be subject to local taxes which are calculated during checkout




Similar content being viewed by others
References
Jakubiec-Krzesniak K, Rajnisz-Mateusiak A, Guspiel A, Ziemska J, Solecka J. Secondary metabolites of actinomycetes and their antibacterial, antifungal and antiviral properties. Pol J Microbiol. 2018;67:259–72.
Selim MSM, Abdelhamid SA, Mohamed SS. Secondary metabolites and biodiversity of actinomycetes. J Genet Eng Biotechnol. 2021;19:72.
Durand GA, Raoult D, Dubourg G. Antibiotic discovery: history, methods and perspectives. Int J Antimicrob Agents. 2019;53:371–82.
Lima Procópio RE, Silva IR, Martins MK, Azevedo JL, Araújo JM. Antibiotics produced by Streptomyces. Brazilian. J Infect Dis. 2012;16:466–71.
Quinn GA, Banat AM, Abdelhameed AM, Banat IM. Streptomyces from traditional medicine: sources of new innovations in antibiotic discovery. J Med Microbiol. 2020;69:1040–8.
Romano G, Costantini M, Sansone C, Lauritano C, Ruocco N, Ianora A. Marine microorganisms as a promising and sustainable source of bioactive molecules. Mar Environ Res. 2017;128:58–69.
Sharma S, Fulke AB, Chaubey A. Bioprospection of marine actinomycetes: recent advances, challenges and future perspectives. Acta Oceano Sin. 2019;38:1–17.
Whitman WB, Coleman DC, Wiebe WJ. Prokaryotes: the unseen majority. Proc Natl Acad Sci USA. 1998;95:6578–83.
Imhoff JF, Labes A, Wiese J. Bio-mining the microbial treasures of the ocean: new natural products. Biotechnol Adv. 2011;29:468–82.
Lam KS. Discovery of novel metabolites from marine actinomycetes. Curr Opin Microbiol. 2006;9:245–51.
Kobayashi K, Fukuda T, Terahara T, Harunari E, Imada C, Tomoda H. Diketopiperazines, inhibitors of sterol O-acyltransferase, produced by a marine-derived Nocardiopsis sp. KM2-16. J Antibiot. 2015;68:638–41.
Uchida R, Nakajyo K, Kobayashi K, Ohshiro T, Terahara T, Imada C, et al. 7-Chlorofolipastatin, an inhibitor of sterol O-acyltransferase, produced by marine-derived Aspergillus ungui NKH-007. J Antibiot. 2016;69:647–51.
Fukuda T, Takahashi M, Nagai K, Harunari E, Imada C, Tomoda H. Isomethoxyneihumicin, a new cytotoxic agent produced by marine Nocardiopsis alba KM6-1. J Antibiot. 2017;70:590–4.
Ohte S, Shiokawa T, Koyama N, Katagiri T, Imada C, Tomoda H. A new diketopiperazine-like inhibitor of bone morphogenetic protein-induced osteoblastic differentiation produced by marine-derived Aspergillus sp. BFM-0085 J Antibiot. 2020;73:554–8.
Clinical and Laboratory Standards Institute. M07 methods for dilution antimicrobial susceptibility tests for bacteria that grow aerobically. 11th ed. Wayne, PA, USA: Clinical and Laboratory Standards Institute; 2019. p. 112.
Koyama N, Kojima S, Nonaka K, Masuma R, Matsumoto M, Omura S, et al. Calpinactam, a new anti-mycobacterial agent, produced by Mortierella alpina FKI-4905. J Antibiot. 2010;63:183–6.
Hikima A, Asamizu S, Onaka H, Zhang H, Tomoda H, Koyama N. Kimidinomycin, a new antibiotic against Mycobacterium avium complex, produced by Streptomyces sp. KKTA-0263. J Antibiot. 2022;75:72–6.
Mosmann T. Rapid colorimetric assay for cellular growth and survival: application to proliferation and cytotoxicity assays. J Immunol Methods 1983;65:55–63.
Hasegawa T, Kamiya T, Henmi T, Iwasaki H, Yamatodani S. Viridenomycin, a new antibiotic. J Antibiot. 1975;28:167–75.
Nakagawa M, Furihata K, Hayakawa Y, Seto H. Structure of viridenomycin. Tetrahedron Lett. 1991;32:659–62.
Nakagawa M, Toda Y, Furihata K, Hayakawa Y, Seto H. Studies on viridenomycin, a novel 24-membered macrocyclic polyene lactam antibiotic. J Antibiot. 1992;45:1133–8.
Plaza A, Baker HL, Bewley CA. Mirabilin, an antitumor macrolide lactam from the marine sponge Siliquariaspongia mirabilis. J Nat Prod. 2008;71:473–7.
Acknowledgements
We express our thanks to Mr. Y. Furuichi of Tokyo University of Marine Science and Technology for sampling collection and isolation of strain KM77-8 and Mr. M. Ikenaga and Mr. T. Okada of Tokyo University of Marine Science and Technology for supporting fermentation section.
Funding
This research is supported by a grant for research and development of diagnostic methods and therapies for antimicrobial-resistant bacteria from the Japan Agency for Medical Research and Development (AMED) under grant number JP22fk0108133.
Author information
Authors and Affiliations
Corresponding author
Ethics declarations
Conflict of interest
The authors declare no competing interests.
Additional information
Publisher’s note Springer Nature remains neutral with regard to jurisdictional claims in published maps and institutional affiliations.
Supplementary information
Rights and permissions
Springer Nature or its licensor (e.g. a society or other partner) holds exclusive rights to this article under a publishing agreement with the author(s) or other rightsholder(s); author self-archiving of the accepted manuscript version of this article is solely governed by the terms of such publishing agreement and applicable law.
About this article
Cite this article
Uemura, M., Kobayashi, K., Sato, N. et al. Haneummycin, a new 22-membered macrolide lactam antibiotic, produced by marine-derived Streptomyces sp. KM77-8. J Antibiot 76, 650–657 (2023). https://doi.org/10.1038/s41429-023-00648-5
Received:
Revised:
Accepted:
Published:
Version of record:
Issue date:
DOI: https://doi.org/10.1038/s41429-023-00648-5


