Abstract
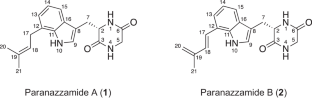
Two new cyclic dipeptides, paranazzamides A (1) and B (2) containing a C7-prenylated tryptophan, were isolated from a culture broth of snake fungal disease-isolate Paranannizziopsis sp. UH-21. This is the first report on the new secondary metabolites from Paranannizziopsis sp. The planar structures of 1 and 2 were elucidated using various spectroscopic techniques including MS and 1D/2D NMR. The absolute configuration of 1 was assigned by comparison with the synthesized compound. Compounds 1 and 2 exhibited no antifungal activity, no antibacterial activity, and no cytotoxic activity even at a concentration of 128 µg ml−1, whereas 1 and 2 exhibited amphotericin B potentiating activity against Candida auris in combination treatment.
This is a preview of subscription content, access via your institution
Access options
Subscribe to this journal
Receive 12 print issues and online access
$259.00 per year
only $21.58 per issue
Buy this article
- Purchase on SpringerLink
- Instant access to the full article PDF.
USD 39.95
Prices may be subject to local taxes which are calculated during checkout




Similar content being viewed by others
References
Paré JA, Sigler L, Hunter DB, Summerbell RC, Smith DA, Machin KL. Cutaneous mycoses in chameleons caused by the Chrysosporium anamorph of Nannizziopsis vriesii (Apinis) Currah. J Zoo Wildl Med. 1997;28:443–53.
Paré JA, Sigler L, Rypien KL, Gibas C-FC. Cutaneous mycobiota of captive squamate reptiles with notes on the scarcity of Chrysosporium anamorph of Nannizziopsis vriesii. J Herpetol Med Surg. 2003;13:10–15.
Allender MC, Dreslik M, Wylie S, Phillips C, Wylie DB, Maddox C, et al. Chrysosporium sp. infection in eastern massasauga rattlesnakes. Emerg Infect Dis. 2011;17:2383–4.
Abarca ML, Martorell J, Castellá G, Ramis A, Cabañes FJ. Cutaneous hyalohyphomycosis caused by a Chrysosporium species related to Nannizziopsis vriesii in two green iguanas (Iguana iguana). Med Mycol. 2008;46:349–54.
Bowman MR, Paré JA, Sigler L, Naeser JP, Sladky KK, Hanley CS, et al. Deep fungal dermatitis in three inland bearded dragons (Pogona vitticeps) caused by the Chrysosporium anamorph of Nannizziopsis vriesii. Med Mycol. 2007;45:371–6.
Paré A, Coyle KA, Sigler L, Maas AK 3rd, Mitchell RL. Pathogenicity of the Chrysosporium anamorph of Nannizziopsis vriesii for veiled chameleons (Chamaeleo calyptratus). Med Mycol. 2006;44:25–31.
Sigler L, Hambleton S, Paré JA. Molecular characterization of reptile pathogens currently known as members of the chrysosporium anamorph of Nannizziopsis vriesii complex and relationship with some human-associated isolates. J Clin Microbiol. 2013;51:3338–57.
Rajeev S, Sutton DA, Wickes BL, Miller DL, Giri D, Van Meter M, et al. Isolation and characterization of a new fungal species, Chrysosporium ophiodiicola, from a mycotic granuloma of a black rat snake (Elaphe obsoleta obsoleta). J Clin Microbiol. 2009;47:1264–8.
Lorch JM, Lankton J, Werner K, Falendysz EA, McCurley K, Blehert DS. Experimental infection of snakes with Ophidiomyces ophiodiicola causes pathological changes that typify snake fungal disease. mBio. 2015;6:e01534–01515.
Gentry SL, Lorch JM, Lankton JS, Pringle A. Koch’s postulates: confirming Nannizziopsis guarroi as the cause of yellow fungal disease in Pogona vitticeps. Mycologia. 2021;113:1253–63.
Díaz-Delgado J, Marrow JC, Flanagan JP, Bauer KL, Zhang M, Rodrigues-Hoffmann A, et al. Outbreak of Paranannizziopsis australasiensis infection in captive African bush vipers (Atheris squamigera). J Comp Pathol. 2020;181:97–102.
Lorch JM, Knowles S, Lankton JS, Michell K, Edwards JL, Kapfer JM, et al. Snake fungal disease: an emerging threat to wild snakes. Philos Trans R Soc Lond B Biol Sci. 2016;371:20150457.
Takami Y, Nam KO, Takaki Y, Kadekaru S, Hemmi C, Hosoya T, et al. First report of ophidiomycosis in Asia caused by Ophidiomyces ophiodiicola in captive snakes in Japan. J Vet Med Sci. 2021;83:1234–9.
Bohacz J. Biodegradation of feather waste keratin by a keratinolytic soil fungus of the genus Chrysosporium and statistical optimization of feather mass loss. World J Microbiol Biotechnol. 2017;33:13.
Tanaka S, Shiomi S, Ishikawa H. Bioinspired indole prenylation reactions in water. J Nat Prod. 2017;80:2371–8.
Cui CB, Kakeya H, Okada G, Onose R, Ubukata M, Takahashi I, et al. Tryprostatins A and B, novel mammalian cell cycle inhibitors produced by Aspergillus fumigatus. J Antibiot. 1995;48:1382–4.
Zhang DB, Yang ZD, Xue PH, Zhi KK, Shi Y, Wang MG. Two new cyclic dipeptides from Rhinocladiella sp. lgt-3, a fungal endophyte isolated from Tripterygium wilfordii hook. Nat Prod Res. 2014;28:1760–4.
Wang Y, Gloer JB, Scott JA, Malloch D. Terezines A-D: new amino acid-derived bioactive metabolites from the coprophilous fungus Sporormiella teretispora. J Nat Prod. 1995;58:93–99.
Asai T, Yamamoto T, Oshima Y. Histone deacetylase inhibitor induced the production of three novel prenylated tryptophan analogs in the entomopathogenic fungus, Torrubiella luteorostrata. Tetrahedron Lett. 2011;52:7042–5.
Steffan N, Li SM. Increasing structure diversity of prenylated diketopiperazine derivatives by using a 4-dimethylallyltryptophan synthase. Arch Microbiol. 2009;191:461–6.
Liu X, Walsh CT. Characterization of cyclo-acetoacetyl-L-tryptophan dimethylallyltransferase in cyclopiazonic acid biosynthesis: substrate promiscuity and site directed mutagenesis studies. Biochemistry. 2009;48:11032–44.
Chakrabarti A, Sood P. On the emergence, spread and resistance of Candida auris: host, pathogen and environmental tipping points. J Med Microbiol. 2021;70:001318.
Clinical and Laboratory Standards Institute. CLSI M27-A4. Reference method for broth dilution antifungal susceptibility testing of yeasts. 4th edn. Wayne, PA: Clinical and Laboratory Standards Institute; 2017.
Fukuda T, Nagai K, Yagi A, Kobayashi K, Uchida R, Yasuhara T, et al. Nectriatide, a potentiator of amphotericin B activity from Nectriaceae sp. BF-0114. J Nat Prod. 2019;82:2673–81.
Yagi A, Uchida R, Kobayashi K, Tomoda H. Polyketide glycosides phialotides A to H, new potentiators of amphotericin B activity, produced by Pseudophialophora sp. BF-0158. J Antibiot. 2020;73:211–23.
Clinical and Laboratory Standards Institute. CLSI M07. Methods for dilution antimicrobial susceptibility tests for bacteria that grow aerobically. 11th edn. Wayne, PA: Clinical and Laboratory Standards Institute; 2018.
Hikima A, Asamizu S, Onaka H, Zhang H, Tomoda H, Koyama N. Kimidinomycin, a new antibiotic against Mycobacterium avium complex, produced by Streptomyces sp. KKTA-0263. J Antibiot. 2022;75:72–76.
Mosmann T. Rapid colorimetric assay for cellular growth and survival: application to proliferation and cytotoxicity assays. J Immunol Methods. 1983;65:55–63.
Acknowledgements
We thank Ms. Honoka Kiguchi for her excellent assistance throughout this work and Ms. Noriko Sato (School of Pharmacy, Kitasato University) for NMR spectra measurements. This work was financially supported by JSPS KAKENHI Grant number JP21K15284 (Grant-in-Aid for Young Scientists) (KK), The Tokyo Biochemical Research Foundation (now Chugai Foundation for Innovative Drug Discovery Science: C-FINDs) (KK), The Research Foundation for Pharmaceutical Sciences (KK) and Kitasato University Research Grant for Young Researchers (KK).
Author information
Authors and Affiliations
Corresponding author
Ethics declarations
Conflict of interest
The authors declare no competing interests.
Additional information
Publisher’s note Springer Nature remains neutral with regard to jurisdictional claims in published maps and institutional affiliations.
Supplementary information
Rights and permissions
Springer Nature or its licensor (e.g. a society or other partner) holds exclusive rights to this article under a publishing agreement with the author(s) or other rightsholder(s); author self-archiving of the accepted manuscript version of this article is solely governed by the terms of such publishing agreement and applicable law.
About this article
Cite this article
Kobayashi, K., Tejima, R., Nagai, K. et al. Paranazzamides A and B, new cyclic dipeptides containing a C7-prenylated tryptophan, produced by pathogenic reptile fungi Paranannizziopsis sp. UH-21. J Antibiot 77, 403–411 (2024). https://doi.org/10.1038/s41429-024-00725-3
Received:
Revised:
Accepted:
Published:
Version of record:
Issue date:
DOI: https://doi.org/10.1038/s41429-024-00725-3


